投资要使生活更加美好——2024年投资总结暨2025年展望

今天是2025年元旦,又到了写年度总结的时候了,今天互相发新年祝贺的比较多。我回了很多,才发现在微信里把本来想发“元旦快乐”的发成了“元宵快乐”的动画图片,真的是老眼昏花了。

大概是年纪大了,回头看2024年一年,似乎是风轻云淡,很多事情其实都忘记了,现在回想起来,还是有不少波涛汹涌的。

2023年其实还是不错的,年底最后一个交易日账户创出了历史新高收盘,来到2024年,谁知道一记闷棍,特别是小市值和小市值对应的可转债,1月份可转债等权指数大跌了8.48%,我的账户更是大跌了9.02%。到了2月5日,账户创下了今年最大亏损:-11.95%,几乎要把2023年全年的盈利全部回吐完了。

虽然后来开始反弹了,但直到9月份一直在水下波动,虽然亏的不多,但这种感受不好。

到了4月份,我根据历史数据做了一次非常罕见的择时,把满仓的可转债全部清仓后买了债券ETF等品种,当时市场其实已经提前反映了,所以等我择时了市场不仅没有下跌而且还继续上涨了。这次择时带来的代价是我大概跑输了4%左右,因为当月可转债等权指数上涨了1.19%、雪球上我的微辣组合没择时,上涨了2.88%,而我的实盘则下跌了1.71%。

虽然账户在5月份上涨了4.24%,大幅度跑赢了可转债等权指数的2.03%、微辣的2.48%,但接下来的6月份下跌了2.48%、7月份下跌了2.76%,虽然没跑输可转债等权指数和微辣,但感受非常不好。

虽然过去也曾经经历过长期的下跌,比如最近一次的2018年的熊市,当年死扛白马亏损了27%多,但当时的资金量要比现在小很多,我大概还是小散户的特点,见不了大资金,看到每天巨额的亏损,时间长了就受不了,最终在7月份挪出了一部分资金,当时也正好要用钱。

后来继续从7月跌到9月23日,账户里的资金虽然也是满仓可转债,但感受就好很多了。后来市场一路反弹,账户也一路反弹上去,特别是10月份以来,大票指数没创新高,但我满仓可转债的账户却迭创新高,一直到12月6日开始连续5个交易日创出历史新高。

我的收益率一直是按照业界最通行的基金净值法计算的,也就是每天收益率的时间加权,今年几个账户合计是17.11%,虽然7月份那次拿出了一部分资金,但因为是离开了股市,肯定不能算进去了。如果按照年初资金量计算,肯定是少赚了很多了。但我也没什么后悔,毕竟因此而平安度过了7到9月,迎来了924行情。

按照基金净值法计算,我18年的投资盈利了32倍多,如果按照2007年第一笔投资计算,实际已经超过了32倍,因为2015年前我还在工作,还有剩余的资金不断增加进去,退休后从账户里拿出多了,现在市场里的净投资肯定是负数了。即使这样,今年的盈利额也大大超过了当年的第一笔投资,而且留在市场里的资金,也是当年第一笔投资的20多倍了。

想到这些,就不会因为7月份的这次抽出资金少赚了很多而感到后悔。而且投资的目的,是使得自己生活更加美好,而不是相反。如果有能力帮助周边人,那就更好。今年是我赞助我父母生前长期执教的河北师大化成奖学金的第10个年头了,也是当年我承若的一期完成了,接下去我还会继续赞助。看到自己能用知识变现帮助他人,比什么都高兴。同时因为我在网络上的分享,使得很多网友受益,也是对我最好的回报。

根据天天基金网提供的数据统计,去年有全年数据的主动型混合基金,在有全年数据的7056只基金中,盈利的4907只,比例69.54%,亏损的2144只,比例30.39%,还有5只正好0收益。

再次贴一下我18年来的9年牛市9年熊市的对比:



9年牛市平均年化收益率39.20%,不仅跑输18年来最好的公募基金华夏大盘的46.83%,而且还跑输了沪深300指数的40.57%。但就是因为9年熊市只亏损了2年,年化也只有6.05%,18年下来整体翻了32倍,远远超过了沪深300指数和最好的公募基金。而其中绝大部分年份都重仓了非主流的四大金刚:封基、债券、分级A、可转债。因为这些品种在当时有着相对直接买股票天然的优势。有人说我既不会做价值投资也不会做投机只能做做可转债量化,也算是说对了。

现在四大金刚一缺三,只有可转债了。有网友问我,万一将来可转债也像其他三个品种一样消失了怎么办?我的回答是船到桥头自然直。天无绝人之路,到时候总能找到相对来说最佳的选择的,就像当年其他三个品种消失后那样。

至于2025年的展望,我还是不做预测,因为我知道我也预测不好,永远做好两手准备。如果是大牛市,认可可转债跑输;如果是震荡市,力争不亏;如果是大熊市,争取不亏。

年纪大了,越来越认识到,不管是工作还是投资,它们的目的都是为了使得生活更加美好,而不是相反。也祝广大网友们在2025年的生活更加美好!

2016年:https://www.jisilu.cn/question/53310

2017年:https://www.jisilu.cn/question/83378

2018年:https://www.jisilu.cn/question/260202

2019年:https://www.jisilu.cn/question/299781

2020年:https://www.jisilu.cn/question/344034

2021年:https://www.jisilu.cn/question/407095

2022年:https://www.jisilu.cn/question/447737

2023年:https://www.jisilu.cn/question/470883

2024年:https://www.jisilu.cn/question/488081
发表时间 2025-01-01 17:46     来自上海

赞同来自: J855101401 J721830574 张雪 pppppp 轻风佛面 梆梆bang W686868 木于乐园 高兴赚钱 tv236 海天地 muyu70 Melody5457 李四爷 虎啸龙 一影照大地 k买买买 超级耐药菌 取不足而补有余 子小人吴 我就随便来看 仰望多空 卜成之 长涨长涨 作死老专家 csh868 大只荔枝 snowy0061 yycx 小志不小 大陆99 yuanlao123 saodiseng 安静的小白 isabelle0928 胖胖哥 edmond888 阿牛0731 QD2005 时来运转098 zouyang9681 濛沽小子 系统君 小M的ATM c1s2a3 夏花秋果 fankk cjangn alimu055 homanking 油子 zblion 穿石的水 傻呆书生 肥不了的羊 尚进 攀爬者2021 还要起名字 方哥哥 英雄弩 牧牛1996 xixili ccc3ccc 学888 dffy10 稳小赚T加0 MiRLi zhou8266 千里奔腾 sam7 smartdingdang llvll 幻影168 一叶知秋1985 ynzouxuhui dlh028 烁宝贝儿 zddc hx279 周期为王 六亿先生 ldn123456689 青岩hjl 柚子皮不好吃 lose706 梧桐山小院子 wygd1 xf8848 云月至文 cheninthesun 北冰洋 amare32 Winnr 江河行地 changc76 梧桐村夫 yxypig 花间语 why333343 gdkyj A用户用户 若临长风 vovosunny yinyin726 阿阿阿阿阿阿所 xiaomi78 梅南居士 陪戎校尉 路远说 不干难就无烟夜 Kimi11 彩虹鸽 破烂王 J204705369 眼里的星星 chok reborn1978 芙蓉泡芙 墨未浓901001 醒余四舍五入 ilkkzm 作手十一 tuxedomaker zhangc 山下春树 欢乐马小跳 富贵牛 蝶恋火2 kolanta lrc168 Leo西风 gisxuxu 我是我由88888 垂钓者的马扎 moneyandyouhai flybirdlee 眼睛 长红姐 J232820671 早上好 oldmonk 何哲欢888 布尔玛 千军万马来相见 robotcator caopanshou日记 欢乐马儿跑 darkangel zyc田忌赛马 文风树上 dhl8 lqzjx 风马牛 都星哲733 路人甲pro zc2008 物我大侄子 alongside 小土豪 股债双牛 LukeTao wwqqtang gdzzhleon 黑海豚猪 bulles 财富自由走天下 上善则举 大7终成 e老实和尚 跌了才买 JJJJJJ57 定投心 milan16 自由之梦想 海水蓝天 cdhr 明青 自信小姐姐 Kluer 沙漠之狐 欢乐吗 芝麻开花啦 遥远的北极星 aara yan3352 hhl1987 tangla26 青蜂侠 xiuzhenxw hannon 不虚不实 AK47888 猪尾巴草77 阳光下正好 盛唐风物 瑞宇堂 ficus 冲出重围 凡创业2026 我心安然 钱书名 攒钱之后买点啥 dingpenglei dingo49 wz2105 cnaxg2019 蓝河谷 超长待机 几度沉 daoxueyu 明园 流沙少帅 东海逍遥 韩艳云 有没有鱼 iono Thiszhou 乘风南来 白云22 zouhaowuwei 孔曼子 小小投资者 lily1129 wjeep daxian100 xingml 黄山松2007 两色空间 rhys 没钱个子矮 捡钢镚 weichilu Fanny06 kanglue xgjxgq 清风difference 不会空仓 大头大头5069 yourenz robin8848 欧阳修 好奇心135 吉吉木 一蓑烟雨008更多 »

1

心想则事成

赞同来自: alongside

@geneous
金老师整个转债基金吧,我买
策略资金容量是一个问题,资金大了收益率下降,持仓个数增多收益率也下降
2025-02-21 00:43 来自广东 引用
6

持有封基

赞同来自: alongside 北海忽 geneous 困了学索隆 包包肚 kolanta更多 »

@geneous
金老师整个转债基金吧,我买
我说过很多次了,我不会去做私募,自己赚点也完全够了,没有必要给自己增加压力。再说我这样个性的人不适合做私募。
2025-02-20 21:15 来自上海 引用
0

geneous

赞同来自:

@持有封基
陕西煤业等煤炭股连续创年内新低今天虽然整个市场涨跌不多,但依然维持大弱小强的格局,虽然个别时候会大强小弱,但今年的基本格局还是大弱小强,估计要到4月份年报集中公布的时候才会扭转。 主流宽基指数中领涨的北证50涨1.49%、微盘股指数涨1.25%;领跌的上证50跌0.58%、沪深300跌0.29%。申万一级行业指数中领涨的国防军工涨1.70%、美容护理涨1.67%、医药生物涨1.60%;领跌的建筑...
金老师整个转债基金吧,我买
2025-02-20 19:37 来自北京 引用
19

持有封基

赞同来自: 孤独的长线客 包包肚 乐鱼之乐 几点到几点呢 kt3020790 拉格纳罗斯 奔跑的蜗牛 明园 hx279 好奇心135 彩虹鸽 流沙少帅 不虚不实 gaokui16816888 我心安然 滚雪球2020 复利开出花 npc小许 e老实和尚更多 »

陕西煤业等煤炭股连续创年内新低

今天虽然整个市场涨跌不多,但依然维持大弱小强的格局,虽然个别时候会大强小弱,但今年的基本格局还是大弱小强,估计要到4月份年报集中公布的时候才会扭转。



主流宽基指数中领涨的北证50涨1.49%、微盘股指数涨1.25%;领跌的上证50跌0.58%、沪深300跌0.29%。

申万一级行业指数中领涨的国防军工涨1.70%、美容护理涨1.67%、医药生物涨1.60%;领跌的建筑装饰跌0.82%、传媒跌0.73%、非银金融跌0.70%。今年难得医药生物涨幅不错。

3169只个股上涨、1785只个股下跌,涨幅中位数0.51%。

陕西煤业、山西焦煤、晋控煤业3只煤炭股今天盘中创出最近1年新低。

比亚迪、药明康德、恒力液压、歌尔股份、领益智造等200多只个股盘中创出最近1年来新高。



501只可转债平均上涨0.59%,对应正股平均上涨1.08%。我的主仓20只可转债平均上涨1.13%,对应正股平均上涨1.94%,账户合计实际上涨1.20%,再创历史新高!

今天也没任何操作,今天持仓中朗科转债大涨8.63%、道恩转债涨4.46%。它们的正股分别涨停,朗科的正股还是20%的涨停。小账户因为只持有10只,而且正好都有朗科转债和道恩转债,所以涨的比主仓多。

今天整个市场5000多只个股,只有陕西煤业等3只煤炭股创出了最近1年的新低,而且还是连续不断的创新低,我查了一下,陕西煤业还是去年10月8日创出的历史新高,不到5个月从最高点下跌了34%,如果简单的看股息率,那么它的TTM还有7.82%。陕西煤业从2019年开始连续上涨了6年,今年下跌了15.64%,因为今年才不到2个月,还有10个多月,到底是涨还是跌现在很难判别,但至少这2个月是下跌的。当然对正宗的价值投资者来说,跌2个月不算什么,但我还是接受不了。

昨天跑输可转债等权指数,今天又大幅度跑赢了,对我来说,选择了可转债这个可以合法“作弊”的工具,目标就是每个月跑赢可转债等权指数,从2021年开始最多有一个月跑输,连续2个月跑输的非常罕见。这也说明了我的策略的有效性。至少和死扛相比,即使将来峰回路转,但长期亏损跑输的过程非常不好受。我们都是凡人,与其去修炼长期亏损跑输的抗压能力,还不如把过程做的舒服点,宁可少赚点,也要使得这个投资过程回撤小,亏损时间短。
2025-02-20 17:48 来自上海 引用
29

持有封基

赞同来自: 彩虹鸽 THY168168 七月好好 总是人生Guang jacktree 孤独的长线客 猪尾巴草77 阴影下的猫 大7终成 乐鱼之乐 hx279 流沙少帅 xingml 明园 好奇心135 周易转债 梦想启航8833 kt3020790 hannon 钟爱一玉 walkerdu 玄空文 skyblue777 kolanta 薅羊毛的艾文 YmoKing zqbkzz e老实和尚 我心安然更多 »

阳包阴,步步高

昨天的下跌,几乎把前天的上涨吞没了,上涨途中这样的下跌也非常正常。没想到今天的上涨再次阳包阴,



主流宽基指数中涨幅居前的北证50大涨5.36%、中证2000涨2.96%;涨幅居后的上证50涨0.47%、沪深300涨0.70%。沪深300指数今年再次浮出水面,水下的只有上证指数和上证50指数。

申万一级行业指数中领涨的机械设备涨4.29%、电子涨3.39%、计算机涨2.67%;领跌的煤炭跌0.88%、银行跌0.46%,石油石化跌0.38%。昨天市场下跌的时候唯一上涨的板块是银行,今天市场上涨了,银行反而下跌了。真是一鲸落,万物生。

在31个申万一级行业指数中,今年领涨前5位的分别是计算机(19.10%)、传媒(12.70%)、机械设备(11.23%)、汽车(10.79%)、电子(8.89%),今年领跌前5位的分别是煤炭(-12.10%)、商贸零售(-5.47%)、石油石化(-4.95%)、食品饮料(-4.61%)、交通运输(-4.49%)。非银金融下跌了3.34%、房地产下跌了2.64%、银行微涨了1.11%、医药生物上涨了1.37%。没想到浓眉大眼的煤炭竟然今年下跌了12.10%。



501只可转债平均上涨1.25%,对应正股平均上涨2.29%。我的主仓20只可转债平均上涨1.08%,对应正股平均上涨1.91%。账户合计实际上涨1.06%。今天又是没任何操作,主要是小账户今天稍弱,不过继续创出了历史新高。

今天可转债等权指数很强,很多策略都跑不赢,主要是高价债发力,47只价格大于150元的高价债平均上涨4%多,对应的正股平均上涨5%多,所以并不是因为小市值的恶炒,而是确确实实的被正股大涨所带动的。

牛市来了,肯定是没有阈值的单溢价率策略涨的最好,这在前几年已经被证明了,只不过这几年被市场虐待的不敢上这样激进的策略。今年用这个策略的集思录里的老实和尚老师,就是靠简单的低溢价摊大饼,今天一天就涨了8.33%,超过了我快2个月的收益率,他今年的收益率都到了惊人的33.98%,几乎是我的5倍之多。

不过我还是不敢切换到那么激进的策略。很有可能我刚刚切换过去就被狠狠的抽了一个大巴掌。虽然我不敢切换到那么激进的策略,但至少从低价涨起来的可转债,超过了131元我还是会让子弹多飞一点时间,除非快要强赎了。

连续几个月都在创历史新高,人心要知足,安全第一。
2025-02-19 16:53 来自上海 引用
1

lsj51453665

赞同来自: zengyongqiang

@持有封基
大部分投资者是盯着一个品种在时间维度上做纵向比较,而我更多的是在一个时点上做不同品种的横向比较。
其实就是时序择时 vs. 横截面选股/选债/选资产大类
截面决策的难度要低很多,胜率高,但是赔率不如择时择对了来得高,所以大部分新手喜欢择时。
大部分海外大机构,不管他们实际做得如何,至少立的flag都是:
我们不做择时,no market timing
我们不做宏观预测,macro forecasting is not essential to investing
我们专注于挑选标的/资产配置,focused on security selection / asset allocation
2025-02-19 10:39 来自上海 引用
10

持有封基

赞同来自: 孤独的长线客 lsj51453665 轻风佛面 LukeTao 好奇心135 乐鱼之乐 几点到几点呢 吃糖看月亮 不虚不实更多 »

该来的总是要来的

前几天都是盘中调整,给人一种错觉,觉得调整总会在盘中完成,今天偏偏是收盘几乎收出了最低价。



主流宽基只是中跌幅最小的上证50跌0.50%、沪深300跌0.88%;跌幅最大的中证2000跌2.82%、科创50跌2.52%。

申万一级行业指数中领涨的唯一上涨的银行涨1.05%;领跌的传媒跌4.29%、商贸零售跌4.03%、社会服务跌3.85%。

695只个股上涨、4396只个股下跌,涨幅中位数-2.49%。

即使今天指数大跌,但盘中也有工商银行、建设银行、农业银行、中国银行等四大行和比亚迪、百济神州、上海银行、生益科技、神州数码、景旺电子等30只个股创出历史新高。



501只可转债平均下跌0.91%,对应正股平均下跌1.89%;我的主仓20只可转债平均下跌0.76%,对应正股平均下跌1.12%。账户合计实际下跌0.75%。今天也没任何操作。

昨天可转债上涨不如大部分指数,今天可转债下跌也小于大部分指数。但一来一去,可转债等权指数本周两天只有跌了0.51%,小于绝大部分指数的跌幅,我的实盘通过优选可转债,跌幅更小,2天只跌了0.07%。充分体现出可转债这个品种特别是在震荡市里的优势。

今天科技股开始分化了,鸡犬升天的局面不可能一直维持下去。中概股跌了几年了,这次正好DS走牛这个契机使得市场给出重新估值。这次我虽然没有去抄底,但我一点都不后悔,因为和2021年的高点比较,很多中概股包括指数还远远没恢复,而我在2021年切换到可转债以来,已经翻倍了,而且不断创出历史新高。

大部分投资者是盯着一个品种在时间维度上做纵向比较,而我更多的是在一个时点上做不同品种的横向比较。2021年从茅台切换到可转债的时候,茅台的价格大概是2000元左右,顶部2600,当时我判断再要涨30%冲破顶部比登天还难;但可转债我回测下来最优有70%的收益率,按照我量化的经验保守估计打个对折是35%,还是优于茅台等白马股。结果2021年实盘获得了42%的收益,后来几年虽然受环境影响没到35%的收益率,但超额收益还是非常多。

多品种的横向比较有一个前提就是要熟悉各类品种,用我的话来说就是用广度替代深度。这点和很多传统的观念不一样。虽然我再2019、2020年做茅台等白马股跑赢了指数,但很很多专业很深的大V相比还是差一点。后面几年我做可转债也不算特别好。但这两段经历加起来就跑赢了绝大多数人。用一句话总结:在做白马里面,我做可转债算比较好的;在做可转债里面,我做白马算是比较好的。就是实用主义,方法不纯粹,但确实有杂交优势。
2025-02-18 16:32 来自上海 引用
44

持有封基

赞同来自: 安菲尔德大灰狼 hx279 robin8848 happysam2018 chenjiandong31 灿若辰星 孤独的长线客 zzczzc666 Zackhu 东海逍遥 阿牛0731 乐鱼之乐 singleline123 阿邦查 阳光下正好 coding 我心安然 likillerli fockds118 懒人养花 孔曼子 xiao999 阿戒1899 捡钢镚 jacktree neverfailor 沙漠之狐 好奇心135 滚雪球2020 不虚不实 plan30 缓慢投资 guo888000 钟爱一玉 明园 e老实和尚 geneous Kluer 大胖江 流沙少帅 daxian100 jjmdh 起个名 youdingnai更多 »

想起了30多年前的创业经历

今天一涨,上证指数今年也浮出水面了,只剩下上证50今年还在水下。



主流宽基指数全部上涨,涨幅居前的微盘股指数涨2.58%、中证2000涨1.78%;涨幅居后的中证500涨0.02%、上证50涨0.14%。

申万一级行业指数中领涨的通信涨3.53%、机械设备涨1.93%、环保涨给1.74%;领跌的有色金属跌2.11%、煤炭跌1.22%、传媒跌0.86%。

3463只个股上涨、1550只个股下跌,涨幅中位数0.82%。


501只可转债平均上涨0.40%,对应正股平均上涨1.03%;我的主仓20只可转债平均上涨0.70%,对应正股平均上涨2.07%。账户合计实际上涨0.68%,再次创出历史新高。

今天没有任何操作,因为小账户涨幅略小,所以最终账户合计实际略少于理论值。

今天最大的新闻就是高层召开的民营企业家座谈会。看到国家如此重视民营企业,不由得想起了我自己30多年前创业的往事。

1992年小平南巡讲话极大的激发了人们的创业热情。我当时在一个国企做码农,看到社会上兴起的经商热,再加上自己也正好是30多岁精力最旺盛的年纪,不由得憧憬着未来。

但说说容易,要下海第一笔启动资金哪里来?业务哪里来?怎么经营一个企业?当时都是两眼一抹黑。当时我为自己单位编制的财务软件,写了大大小小的文章发表在各类计算机杂志上,也有企业用了我的软件。我当时想能不能把它做成一个业务。正好我们单位也成立了三产经营部,经过协商,加入了电脑业务。资金都是职工集资来的。

当时的下海,真正成立私企的极少,都是挂靠在国企下面,要么停薪留职,要么用父母的名义。当年的私企是被人另眼相看的。

想想容易,做起来比登天还难。当时每个单位的财务有各种特殊要求,所以修改和维护的工作量占了非常大的精力,而且当时软件也不值钱,更不要说这些售后服务了,更要命的是当时的知识产权保护非常弱,我的软件被人盗版。

软件业务做不成了,经过讨论,我们改行做硬件,当时流行组装兼容机,品牌机不是主流。从深圳等地方采购的计算机配件自己组装,再加上售后升级服务等,勉强做了3年。但规模就是做不大,再加上后来我们国家实行增值税制度后更加难做了。到了1995年就解散了这个电脑经营部,上岸去了联想。

现在回想起来,我自己的个性也不适合创业,再加上当年很多条件也不具备。但我不后悔,经历了这三年,至少知道了企业经验之难,获得了一手的经验,这对我后来的职业生涯,甚至后来的投资,都是有非常大的帮助的。
2025-02-17 16:47 来自上海 引用
0

LowRiskHunter

赞同来自:

@LowRiskHunter
千万,20支?交易时不会引起较大幅度的滑点吗?感觉转债每只的容量到不了50万吧?
明白了,是多个账户交易,每次每个账户买卖单只转债也就几万元。拉长到一个交易日内,慢慢交易。
2025-02-17 11:14 来自江苏 引用
0

LowRiskHunter

赞同来自:

@持有封基
目前是20只,千万以上轮动就是时间长一点。我的账户多,开始到结束可能要花费几个小时,到最后一个账户的排名可能不一样了。
千万,20支?交易时不会引起较大幅度的滑点吗?感觉转债每只的容量到不了50万吧?
2025-02-16 11:34 来自浙江 引用
0

wbb渐入佳境 - 2030十年十倍

赞同来自:

@持有封基
目前是20只,千万以上轮动就是时间长一点。我的账户多,开始到结束可能要花费几个小时,到最后一个账户的排名可能不一样了。
老师为啥不合并到一个大账户呀
2025-02-15 09:47 来自北京 引用
0

西光

赞同来自:

其实我几乎所有的操作,都是按照量化模型来做的,买入的理由也只有一个,就是排名在前面;同样卖出的理由也只有一个,就是排名到后面去了或者踢出排名了。>
请教一下老师,排名的依据是什么?涨幅高,卖出,踢出;涨幅低,买进?
2025-02-15 08:28 来自河南 引用
1

持有封基

赞同来自: geneous

@zengyongqiang
金老师,请教下,你选择标的的个数是多少,每个标的的资金有限制条件吗?谢谢
目前是20只,千万以上轮动就是时间长一点。我的账户多,开始到结束可能要花费几个小时,到最后一个账户的排名可能不一样了。
2025-02-15 08:21 来自上海 引用
0

zengyongqiang

赞同来自:

@持有封基
为什么要买入道恩转债?
现在的市场确实很强,今天盘中几经周折,最终绝大部分指数都收红了。


主流宽基指数中领涨的创业板指涨1.80%、沪深300涨0.87%;领跌的北证50跌0.97%、中证2000跌0.16%。
申万一级行业指数中领涨的计算机涨3.52%、医药生物涨2.41%、传媒涨1.60%;领跌的房地产跌1.42%、建筑材料跌0.89%、综合跌0.83%。
2305只个股上涨、2631只个...
金老师,请教下,你选择标的的个数是多少,每个标的的资金有限制条件吗?谢谢
2025-02-14 22:10 来自湖南 引用
23

持有封基

赞同来自: 孤独的长线客 sam7 乐鱼之乐 缓慢投资 th604 hshpangpang 管住手830 平静aw 不虚不实 kolanta cdhr xingml 几点到几点呢 流沙少帅 钟爱一玉 LukeTao 起个名 e老实和尚 suijimanbu 困了学索隆 geneous 作手十一 塔塔桔更多 »

为什么要买入道恩转债?

现在的市场确实很强,今天盘中几经周折,最终绝大部分指数都收红了。



主流宽基指数中领涨的创业板指涨1.80%、沪深300涨0.87%;领跌的北证50跌0.97%、中证2000跌0.16%。

申万一级行业指数中领涨的计算机涨3.52%、医药生物涨2.41%、传媒涨1.60%;领跌的房地产跌1.42%、建筑材料跌0.89%、综合跌0.83%。

2305只个股上涨、2631只个股下跌,涨幅中位数-0.09%。今天绝大部分指数都上涨,但个股还是跌多涨少,形成个股和指数的背离。



502只可转债平均上涨0.22%,对应正股平均上涨0.56%。我的主仓20只可转债平均上涨0.11%,对应正股平均下跌0.04%。账户合计实际也是上涨0.11%。

今天没任何操作,昨天被我卖出的威派转债,今天正股开盘继续牢牢的封在涨停板上,不管公司解释和DS无关,这样看上去,下周一很有可能继续上涨,这也没什么好后悔的量化操作总有对有错,只要大概率的正确就可以了。

今天市场一涨后,今年的沪深300指数也孚到水面上来了,水底下的只有上证指数和上证50,都不到1个点,说不定下周就可以浮上来了。

虽然今年A股大部分指数还不错,但和港股比还是差一截,今年恒生指数上涨了12.56%,恒生科技指数上涨了23.37%。超过了A股大部分指数。

港股前几年跌幅比A股多,下跌时间也比A股长,而且估值又比A股还要低。最近被外资看上了,这也不奇怪。DS的崛起只是一个契机,没有DS,早晚也会涨,只不过我们不知道什么时候。

即使这几天港股上涨大于A股,但绝大部分股票还是港股比A股便宜得多,而且即使考虑了税收等因素后还是便宜。按照经典的价值投资理论,应该是买港股而不是A股。说明大部分投资者还是把获取差价作为目标而不是价值。

昨天我说了盘中把威派转债换成了道恩转债,至少有3个网友在不同的平台上问我为什么要换成道恩转债?

其实我几乎所有的操作,都是按照量化模型来做的,买入的理由也只有一个,就是排名在前面;同样卖出的理由也只有一个,就是排名到后面去了或者踢出排名了。

很多普通投资者还是不了解量化投资,不是神化量化投资,就是妖魔化量化投资。其实指数化的投资,从广义来说就是量化投资。

比如沪深300指数,就是用了自由流通市值这个因子,从大到小排序(当然还要剔除主板上市时间小于1个季度、双创上市时间小于1年、过去一年日均成交金额后50%的证券)。每半年调整一次。

再譬如红利低波,剔除红利支付率排名前5%、增长率非正按照过去三年平均税后现金股息率降序排名,挑选排名居前的75 只证券作为待选样本,再在75只样本中,按照过去一年波动率升序排名,挑选排名居前的50只证券作为指数样本。每年调整一次。

沪深300的指数基金就是跟踪指数调整的基金,因为是自由流通市值排序,所以很有可能涨多了纳入了指数,成为很多人诟病的接盘侠。但这个不是因为指数本身而是因为我们的很多个股的周期性比较大。同样的头部指数,美股这种情况就比较少。而且在红利低波这样的指数中可能就不存在,因为在红利低波中,个股的价格涨多了,股息率不是增大而是缩小了,很有可能就是涨多了就被剔出指数的样本里了。

当然,和大家观念里的量化基金相比,指数基金最大的不同是算法公开的,算法公开很容易造成因子暴露而失效,而且调整的时候可能被人套利,比如沪深300指数要调入某只股票,跟踪它的指数基金规模非常大,如果大家都是在某一时点上买入,那么就会有人提前买入,到时候价格因为巨量买入而骤升,套利者可以就此套利。

以上说的是中低频的量化投资,一般可以用计算机编程来回测一下策略在历史上的表现,对于非专业的投资者,可以用非编程平台如果仁网(回测个股和基金)、禄得网(回测可转债)。当然回测的历史数据不能代表未来,详细的说明,可以看看我平时写的相关帖子和两本我写的量化投资的科普书(《十年十倍——散户也可以学习的量化投资方法》、《寻找鱼多的池塘——投资长赢之道》)。

还有一秒钟几次甚至几十次的高频交易的量化投资,那确实是普通投资者很难涉足的,因为要用到专门的服务器等很多价格不菲的硬件。对普通投资者来说,尽可能不要去做没把握的短线交易,因为你的短线对手很有可能是这些高频交易,实话实说,你的胜率和赔率是很低的。

我虽然不是专业投资者,对量化也只是有点三脚猫的知识,但毕竟做了18年真金白银的量化交易,而且整体来说收益还算稳定。大家有什么问题也可以提出来。
2025-02-14 17:24 来自上海 引用
4

持有封基

赞同来自: gaokui16816888 geneous 轻风佛面 大7终成

@阿彪12345678
谢谢老师分享,说点不同意见,在高中以前的基础知识最好不要有短板
你说的没错,在高考的时候有明显短板的学生很吃亏。
2025-02-14 08:08 来自上海 引用
1

阿彪12345678

赞同来自: 轻风佛面

@持有封基
跌多了就一定涨吗?今天在下午2点前,市场似乎在复制前几天的行情:盘中被砸下去后又被拉起来,最终皆大欢喜的受红盘。但2点后风云突变,一路下跌。当然事后专家们总会给出看上去合理的解释的。 主流宽基只是唯一上涨的上证50微涨0.04%;领跌的科创50跌2.31%、北证50跌1.76%。申万一级行业指数中领涨的食品饮料涨1.86%、农林牧渔涨1.83%、传媒装1.72%;领跌的电子跌2.71%、机械设备...
谢谢老师分享,说点不同意见,在高中以前的基础知识最好不要有短板
2025-02-14 06:44 来自陕西 引用
24

持有封基

赞同来自: lushang1006 machine 塔塔桔 孤独的长线客 happysam2018 skyblue777 周期为王 luyi1 乐鱼之乐 kolanta kenlee 明园 孔曼子 e老实和尚 gaokui16816888 彩虹鸽 布尔玛 难有梦 我心安然 geneous RiverToSea 不虚不实 pppppp 流沙少帅更多 »

跌多了就一定涨吗?

今天在下午2点前,市场似乎在复制前几天的行情:盘中被砸下去后又被拉起来,最终皆大欢喜的受红盘。但2点后风云突变,一路下跌。当然事后专家们总会给出看上去合理的解释的。



主流宽基只是唯一上涨的上证50微涨0.04%;领跌的科创50跌2.31%、北证50跌1.76%。

申万一级行业指数中领涨的食品饮料涨1.86%、农林牧渔涨1.83%、传媒装1.72%;领跌的电子跌2.71%、机械设备跌1.96%、通信跌1.82%。

1114只个股上涨、3885只个股下跌,涨幅中位数-1.15%。



501只可转债平均下跌0.41%,对应正股平均下跌1.02%;我的主仓20只可转债平均下跌0.34%,对应正股平均下跌1.18%。账户合计实际下跌0.59%。

今天跌幅较大的主要原因是卖出了威派转债换入了道恩转债。威派正股昨天收盘后主动公告公司没有和DeepSeek开展任何合作,只是和我们普通人一样使用了DeepSeek。但市场不管你的解释,你说了没用,我说有就是有,结果今天巨大的封单导致了一个做水务的公司八竿子打不着DeepSeek的公司三连板。我担心巨量的单子砸下来,早早清仓了威派转债换入了道恩转债,结果威派继续大涨,道恩还跌了一点。我心态很好,昨天刚买入的威派转债,能有6个点的收益率落袋为安就非常不错了。

有网友问,医药和食品两个行业跌了4年了,是所有行业里跌幅最大的,能不能抄底?我觉得跌多了不是未来会上涨的唯一理由。打个不太恰当的比喻,一个学生连续4年成绩不好,就会大概率翻身吗?

我的投资理念还是在全市场寻找“鱼多的池塘”,纳指、红利低波、小市值、科技成长股、可转债等,包括跌了4年的医药和食品,我虽然都在跟踪,但对我来说比较适合的还是可转债,因为不但可转债的等权指数比较稳定,而且每年能超额可转债等权指数10个点左右是非常稳定的。

过去我们学管理学,里面有个“木桶原理”,说的就是要补短板。当时我觉得很有道理,但短板不是那么容易补的。一个组织,一个公司,确实需要寻找短板补上,但“木桶原理”用在个人身上则有点不合适。

过去我们提倡学生培养德智体全面发展的人才,但实际上有些人才确实是非常偏科。数理化考不好,可能埋没了一个未来的大作家。现在有个观点是作为个人不需要补短板,而是尽可能拔高长板,发挥自己的长处。整个社会把这些长板组合起来,社会的效益就会得到巨大的发挥。

试想一下,如果让饺子导演去补它的AI短板,或者让梁文锋去补动画创作这个短板,整个社会会变成什么样?只有社会能包容各种偏科人才,有效的发挥他们的长处,整个社会效益才能得到极大的提升。

还是回到上面的那个问题,即使跌的多的医药和食品反弹了,但大概率不是最佳选择。就像昨天跌跌不休的房地产大涨了,如果你追进去,今天可能又被套了,就像港股的万科,从盘中最高涨3.62%,到收盘跌6.30%。
2025-02-13 17:06 来自上海 引用
3

复利开出花

赞同来自: 朱顶红 阿戒1899 pppppp

@沐柰
个人想法,除了学习,小孩子探索周边世界也是一种生活和成长,和现在很多人喜欢的citywalk同理,如果一整天都在家和学校,路上只是在车里观察外部建筑的话,感觉少了很多乐趣。如果不赶时间,我去国外甚至其他城市玩的时候都会选择公交。贵阳的BRT就是地铁模式,车门可以两边开,让我觉得非常神奇。我原本想说,路上活动下,能让大脑转换一下 ,学习效率还能高点。但想到通勤时间长的时候人也累就不好说了。感觉还是...
高中初中的孩子在家里都是在关注自己的事情,学习,游戏,友情,给亲情的时间反而不多,路上接送也是一段不错的相处时光,可以更多的了解孩子的情况和介入。
2025-02-13 12:41 来自福建 引用
2

沐柰

赞同来自: gaokui16816888 drzb

@bulles
我们家就这样,一直到高中,连孩子约同学吃饭都是车接车送,一开始我也不理解,无奈家里Hf的命令,说节省路上时间,要赶快学习。
个人想法,除了学习,小孩子探索周边世界也是一种生活和成长,和现在很多人喜欢的citywalk同理,如果一整天都在家和学校,路上只是在车里观察外部建筑的话,感觉少了很多乐趣。如果不赶时间,我去国外甚至其他城市玩的时候都会选择公交。贵阳的BRT就是地铁模式,车门可以两边开,让我觉得非常神奇。

我原本想说,路上活动下,能让大脑转换一下 ,学习效率还能高点。但想到通勤时间长的时候人也累就不好说了。感觉还是看小孩子自己的想法吧。
2025-02-13 09:55 来自广东 引用
1

bulles

赞同来自: 塔塔桔

@Judymay
始终不明白,现在的孩子都很大了还要家长接送,尤其是离家很近的,初中生高中生的,完全可以自己回家啊,但是不,都是大人接送,无法理解
我们家就这样,一直到高中,连孩子约同学吃饭都是车接车送,一开始我也不理解,无奈家里Hf的命令,说节省路上时间,要赶快学习。
2025-02-13 08:59 来自浙江 引用
0

Judymay

赞同来自:

@持有封基
我们应该怎样爱护孩子?昨天调整了1天,今天又是满堂红了。最近的市场确实是很强。主流宽基指数中涨幅居前的创业板指涨1.81%、科创50涨1.63%;涨幅居后的微盘股指数涨0.41%、沪深300涨0.95%。申万一级行业指数中领涨的房地产涨3.10%、电子涨2.67%、计算机涨2.56%;领跌的有色金属跌0.62%、煤炭跌0.42%、纺织服饰跌0.25%。3376只个股上涨、1491只个股下跌,涨幅...
始终不明白,现在的孩子都很大了还要家长接送,尤其是离家很近的,初中生高中生的,完全可以自己回家啊,但是不,都是大人接送,无法理解
2025-02-13 00:20 来自山东 引用
0

芝麻开花啦

赞同来自:

@持有封基
我们应该怎样爱护孩子?昨天调整了1天,今天又是满堂红了。最近的市场确实是很强。 主流宽基指数中涨幅居前的创业板指涨1.81%、科创50涨1.63%;涨幅居后的微盘股指数涨0.41%、沪深300涨0.95%。申万一级行业指数中领涨的房地产涨3.10%、电子涨2.67%、计算机涨2.56%;领跌的有色金属跌0.62%、煤炭跌0.42%、纺织服饰跌0.25%。3376只个股上涨、1491只个股下跌,涨...
跟小日子一样,以后年轻人就都是玩玩二次元,干大事就别指望了
2025-02-12 19:53 来自江苏 引用
18

持有封基

赞同来自: 孤独的长线客 gaokui16816888 e老实和尚 好奇心135 Judymay 自由椰子 乐鱼之乐 geneous LukeTao hydk npc小许 不虚不实 kolanta Kluer 困了学索隆 阿戒1899 流沙少帅 柿柿如意牛旋风更多 »

我们应该怎样爱护孩子?

昨天调整了1天,今天又是满堂红了。最近的市场确实是很强。



主流宽基指数中涨幅居前的创业板指涨1.81%、科创50涨1.63%;涨幅居后的微盘股指数涨0.41%、沪深300涨0.95%。

申万一级行业指数中领涨的房地产涨3.10%、电子涨2.67%、计算机涨2.56%;领跌的有色金属跌0.62%、煤炭跌0.42%、纺织服饰跌0.25%。

3376只个股上涨、1491只个股下跌,涨幅中位数0.46%。


502只可转债平均上涨0.51%,对应正股平均上涨1.12%。我的主仓20只可转债平均上涨0.52%,对应正股平均上涨0.84%。账户合计实际上涨0.57%。

今天的超额收益来自卖出天壕转债买入威派转债,虽然卖出天壕转债到收盘上涨了0.31%,但买入威派转债后上涨了1.31%。威派正股已经两个涨停了,但因为可转债涨的很少,而且今天涨停很早,封单非常坚挺,我买入的时候排名竟然是第一了。宁可按照策略踩雷也不随意踏空,看我明天的运气了。

受小作文影响,万科在尾盘急速拉起涨停,如果说是因为昨天万科第一大股东深铁集团拟向公司提供28亿元股东借款,用于偿还到期公开债务,那也应该开盘就涨停了,磨磨蹭蹭到了尾盘才涨停,显然是受更大利好的预期的影响,不过是真是假过几天就可以见分晓了。

DeepSeek概念(880978)昨天才卸了一天,今天又大涨了3.56%。估计行情至少要到4月份才会告一段落,但不排除出现类似昨天的调整甚至更加深的调整。不过我仔细看过这些DS概念股,还真只是一个概念,要到形成真正的利好,还有很多路要走,而且大部分可能都会从哪里起来跌回到哪里。

今天中午和一个老同事一起吃饭,说起现在孩子的培养。读了大学的孩子还要每周父母开车去接。而且很多孩子上了中学甚至高中都要父母接送。我自己的孩子当年也没享受过这样的待遇,那是因为工作忙,家里的老人又不在一起,只有念小学的时候外公接送的,初中就自己去了。记得我自己读小学的时候都是自己去上学的,没有家长接送的,当然那已经是60年代的事情了。

我只看到我们小区边上的幼儿园,每天都是家长接送,门口而且站着好几个全副武装的保安,估计是出了几次恶性事件后导致的。

每个父母都希望孩子能顺利成长,在成长道路上不受到任何伤害。但有的时候,孩子成长道路上要走的弯路还是会走的,我们不可能伴随孩子一生。我们都知道火烧到手是很疼的,做父母的也会告诉孩子不要去玩火,但回想起来我们哪个孩子没被火烫到过?怎么在孩子成长过程中,既要少受伤害,又要能很快成长起来,这对父母来说也是一门值得研究的课题。
2025-02-12 16:47 来自上海 引用
0

芝麻开花啦

赞同来自:

@持有封基
嘚瑟的报应来了还是被我嘚瑟坏了,今天一大早我就在说,很难看到我的账户20只可转债全部都是红的,看来要调整了,结果调整就这样来了。 主流宽基指数唯一上涨的北证50涨2.04%,今年已经涨了20.49%了,真是一骑绝尘;领跌的创业板指跌1.43%、科创50跌1.19%。申万一级行业指数中领涨的纺织服饰涨1.31%、银行涨0.93%、传媒涨0.74%;领跌的房地产跌1.67%、电力设备跌1.41%、国...
2025-02-12 06:54 来自移动 引用
27

持有封基

赞同来自: 塔塔桔 宿不移 我心安然 孤独的长线客 逐日 猪尾巴草77 gaokui16816888 彩虹鸽 乐鱼之乐 好奇心135 懒人养花 流沙少帅 几点到几点呢 coding 雷诺 打新交朋友 XXWWJJ eckeels 阿戒1899 kolanta 细水长流422 鹏0818 geneous 钟爱一玉 不虚不实 柿柿如意牛旋风更多 »

嘚瑟的报应来了

还是被我嘚瑟坏了,今天一大早我就在说,很难看到我的账户20只可转债全部都是红的,看来要调整了,结果调整就这样来了。



主流宽基指数唯一上涨的北证50涨2.04%,今年已经涨了20.49%了,真是一骑绝尘;领跌的创业板指跌1.43%、科创50跌1.19%。

申万一级行业指数中领涨的纺织服饰涨1.31%、银行涨0.93%、传媒涨0.74%;领跌的房地产跌1.67%、电力设备跌1.41%、国防军工跌1.08%。银行总算涨了点。

1624只个股上涨、3364只个股下跌,涨幅中位数-0.64%。



502只可转债平均下跌0.28%,对应正股平均下跌0.27%。我的主仓20只可转债平均下跌0.45%,对应正股平均下跌0.54%。账户合计实际也是下跌0.45%。今天没有做任何操作。

一大早我就说很难得我的20只可转债全红,估计调整很快就要来了。不幸被我这张乌鸦嘴说中。其实我也是根据过去的经验,20只可转债全红很难维持很长时间,因为我采用的是轮动策略而不是死守策略。还有一个原因就是可转债价格中位数在最近1年里到了122元左右就开始调整。昨天是122.045元,今天开始调整,去年12月12日式122.116元,从去年12月13日开始调整;2023年11月15日是122.032元,次日开始调整。当然,再早最高到过131.501元,那是发生在2022年1月12日。最近1年多里这个122元几乎就是顶部了。

而可转债等权指数的最高点发生在2022年8月17日,为2183.556,当时的中位数是131.302元,今天收盘可转债等权指数是2135.670,离开最高点还有2.24%,已经相当接近了。但我不敢做任何择时的动作,一方面自己没这个能力,另一方面历史上每次高点不都是突破了前一次的高点吗?

今天运气不好还有一个最大的错,昨天被我换出的科达转债,今天正股涨停,科达转债大涨7.05%。而被我买入的万顺转2,正股下跌了6.67%,转债跌了0.83%。精准的躲过了大涨,又精准的踩上了大跌,唯一的安慰是万顺转2跌的还不算多。

当然,一天两天运气不好是概率,坦然接受就是了,唯一的办法就是分散。但如果连续发生类似的事情,就不能用运气不好来解释了,需要反思自己的策略是否有问题。

前几天我在《读者》上看到毛姆的一段话很有感触:“千万不要相信,压力可以转化为动力,你的压力只会转化成病历。人的真正动力,源自内心深处对快乐和兴趣的追求。”就在雪球上贴了。有网友说毛姆并没在《人生的枷锁》里说过这样的原话。今天我让DS查了一下,DS说查阅《人生的枷锁》原著,并未找到完全一致的原文表述。毛姆在书中确实探讨了“人生意义”和“自我实现”的主题,例如主角菲利普对艺术与自由的追求,但具体措辞更偏向哲学思辨,而非直接讨论“压力与动力”的关系。这可能是后人对其思想的概括或引申。毛姆的其他作品(如《月亮与六便士》、《面纱》)中也有关于人性、孤独与追求自由的表达,例如:“美丽是上帝赐予的礼物”“爱是消耗品”等,但这些与“压力转化为病历”的表述无直接关联。当前传播的版本可能是对毛姆思想的提炼或二次创作,尤其在社交媒体和励志类文章中,常被简化以适应现代语境。

其实谁说的不重要,但这段话确实对传统的观点做了反思。在物质条件不太充分的社会里,我们每个人或多或少的承受着压力,在巨大的压力下做出一番事业的,毕竟是少数。例如生活在社会最底层的朱元璋,在巨大的压力下最终成就了一番大事业,但同样和朱元璋一样的元末千千万万的平民,绝大多数都像《哪吒2》里的土拨鼠或者陈塘关的老百姓一样。在物质条件不充分的时代,很多事情是不由我们去选择的。只有今天物质条件充分,才会有饺子的母亲在饺子“不务正业“的时候支持他凭着兴趣去做动画。而且我相信未来在物质条件越来越丰富的时代里,饺子、梁文锋这样凭着热爱来选择自己的职业的会越来越多。
2025-02-11 18:51 来自上海 引用
0

芝麻开花啦

赞同来自:

@持有封基
跑不赢指数还要坚持轮动可转债吗?真好,又是红彤彤的一片,今年涨幅最大的北证50都已经涨了18.08%了。 主流宽基指数中涨幅居前的北证50涨3.38%、微盘股指数涨2.58%;涨幅居后的沪深300指数涨0.21%、创业板指涨0.44%。今年下跌的指数还有上证50、上证指数和沪深300,分别下跌2.37%、0.88%和0.86%。申万一级行业指数中领涨的计算机涨3.97%、传媒涨3.25%、商贸零...
2025-02-11 05:29 来自北京 引用
21

持有封基

赞同来自: 塔塔桔 孤独的长线客 不虚不实 小小小小叶 夏花秋果 pangjl 红星闪闪666 kanglue 好奇心135 乐鱼之乐 包包肚 Mingo2 我心安然 ftnicko2 kolanta 好几回发个 柿柿如意牛旋风 gaokui16816888 几点到几点呢 geneous 好奇号更多 »

跑不赢指数还要坚持轮动可转债吗?

真好,又是红彤彤的一片,今年涨幅最大的北证50都已经涨了18.08%了。



主流宽基指数中涨幅居前的北证50涨3.38%、微盘股指数涨2.58%;涨幅居后的沪深300指数涨0.21%、创业板指涨0.44%。今年下跌的指数还有上证50、上证指数和沪深300,分别下跌2.37%、0.88%和0.86%。

申万一级行业指数中领涨的计算机涨3.97%、传媒涨3.25%、商贸零售涨3.02%;领跌的电力跌0.54%、煤炭跌0.28%、公用事业跌0.12%。

3888只个股上涨、1104只个股下跌,涨幅中位数1.19%。

退市卓朗盘中创最近1年新低。

中国电信、金山办公、韦尔股份、蓝思科技、科大讯飞、浪潮信息、瑞芯微、软通动力、用友网络、光线传媒、ST华通、卧龙电驱、科达利、思特威、全志科技、网宿科技、中科创达、光环新网、东华软件、神州数码等150只个股盘中创出最近1年新高,其中中国电信、软通动力、卧龙电驱、思特威、神州数码、兆威机电、美榕智能、龙迅股份、斯菱股份、润本股份、浙江荣泰、安凯微、迈信林、新炬网络、金沃股份、品高股份、亚香股份等17只个股盘中创出历史新高。创新高的数量越来越多,大部分都是偏科技类的。



502只可转债平均上涨0.39%,对应正股平均上涨1.23%。我的主仓20只可转债平均上涨0.46%,对应正股平均上涨1.34%。今天可转债涨幅继续大幅度落后正股。账户合计实际上涨0.42%,主要是今天卖出科达转债买入万顺转2吃了点小亏,成交后万顺转2的涨幅不如科达转债。

今年特别是这个月的几天,在deepseek概念带动下,整个成长股只要沾点概念的都带来一波大涨,很多公司就是发了个文说要用DS,甚至A公司沾了点DS概念,B公司有A公司的一点股份,也能成为上涨的理由。虽然我的账户已经连续3天创出了历史新高,但最近几天很难跑赢指数,这个月4个交易日账户上涨了3.48%,仅仅跑赢了上证指数、上证50和沪深300,涨幅最高的北证50这个月已经涨了15.82%,即使中证2000,也上涨了8.18%。

未来几天里可能账户继续会跑输这些像北证50、中证2000等成长股指数。我不打算采用激进的方法去跑赢这些指数,宁可守拙跑输,因为我知道A股不管你哪个指数大幅度上涨后必然带来一段时间的调整,而我又没能力去捕捉这个转折点。

回想起去年924行情里的6个交易日,我的账户严重跑输各大指数,一直到10月8日开盘各大指数创出阶段性高点后进入了漫长的调整期,至今大部分指数都没突破去年10月8日的高点,而我的账户则不断的慢慢攀升,几乎每个月都创出历史新高,直到这3天再次创历史新高,我统计了一下,去年10月8日后账户已经19个交易日创出了历史新高,这种感受非常好。

当然,我也会适当做一点调整,比如持仓的可转债价格即使超过131元后可能也会放一段时间,让子弹飞一会。但总体还是本着守拙的策略,认可在市场大涨的时候账户大幅度跑输。
2025-02-10 18:54 来自上海 引用
28

持有封基

赞同来自: 驴儿驾 孤独的长线客 shoooliu LukeTao 乐鱼之乐 xingml npc小许 skyblue777 kevindudu Yauziho QianYi2022 轻风佛面 圆子可乐 plan30 wz2105 虎虎生葳 zoetina52 dongzhouwang e老实和尚 gaokui16816888 流沙少帅 几点到几点呢 夏花秋果 pppppp 不虚不实 胡说之 好奇心135更多 »

价值还是成长有没有月历规律?

今天依然是一片红,但下午回落了不少,尾盘又拉了起来,说明多空双方的分歧很大,而且沪深两市的成交额放大到19602亿,接近2万亿,比昨天又增加了4249亿。



主流宽基指数中涨幅居前的北证50又大涨4.96%、创业板指帐2.53%;涨幅居后的科创50帐0.75%、上证指数帐1.01%。

申万一级行业指数中领涨的计算机帐3.21%、综合帐2.96%、电力设备帐2.64%;下跌的板块只有银行跌了0.32%。

3908只个股上涨、1084只个股下跌,涨幅中位数0.92%。

*ST卓朗、*ST大药盘中创出最近1年新低,同时也创出了历史新低。

金山办公、蓝思科技、三花智控、浪潮信息、瑞芯微、领益智造、云铝股份、光线传媒、晶晨股份、伯特利、卧龙电驱、恺英网络、鸣志电器、网宿科技、长盈精密、光环新网、齐鲁银行、金发科技、广和通、兆威机电等126只个股盘中创出最近1年新高,其中三花智控、瑞芯微、卧龙电驱、广和通、兆威机电、华测导航、芯动联科、奥比中光、华丰科技、长盛轴承、银轮股份、江苏雷利、中坚科技、美格智能、弘信电子、东睦股份、龙迅股份、润本股份、斯菱股份、德昌股份等24只个股盘中创出历史新高。一大批个股创出新高。



502只个股平均上涨0.46%,对应正股平均上涨1.54%;我的主仓20只可转债平均上涨0.16%,对应正股平均上涨0.73%。账户合计实际上涨0.17%。盘中卖出涨幅过大的博杰转债换入了威唐转债,到收盘两者都下跌了一点,基本没有超额收益。

今天应了李清照的那首《如梦令 昨夜雨疏风骤》里的“知否知否应是绿肥红瘦”,因为指数涨的很好,可转债整体也还算过得去,只不过涨幅严重跟不上正股的涨幅,而我的持仓在连续几天大幅度跑赢可转债等权指数后,今天出现了均值回归,甚至下午盘中还跌了很多,正是应了“绿肥红廋”。

本月3个交易日,出现了价值连续跑输成长的现象,一般来说,价值股都是偏大市值的,成长股都是偏小市值的。这也容易理解,小孩长的肯定比大人要快。这里把上证50代表大票价值,中证2000代表小盘成长,统计一下最近11年来每个月的涨跌:



我们看11年来每个月中证2000和上证50的月度涨幅平均差就可以很明显的看到,12个月里,1月份、4月份、12月份这3个月,上证50的涨幅明显超过中证2000,而2月份、3月、5月份则正好相反,中证2000的月度涨幅明显超过上证50,其他6个月份虽然也是中证2000超过上证50,但没那么明显。

这背后是有逻辑的,每年的12月1月两个月是年底业绩预告,一般来说上证50的业绩要明显好于中证2000,暴雷也少很多,所以这两个月上证50大概率胜出。4月份是年报密集发布,同样的理由使得上证50的表现好于中证2000。经过了12月1月的大强小弱,小票有反弹的需求,同样5月份也是经过了4月份的大强小弱后有反弹的需求。小票表现最好的2月、3月、5月,都是在大票表现最好的12月、1月、4月后,而且12月1月连续两个月大票表现好,就跟着2月3月两个月小票表现好,4月1个月大票表现好,就跟着5月一个月小票表现好。

当然这种好坏只是1个概率,不能作为择时的依据,就拿2月份来说,10多年来绝大部分年份都是小票表现好,但也有2016年、2024年这两年的2月份是上证50好于中证2000,2015年、2017年这两年的3月份也是上证50好于中证2000。

所以如果强行择时,比如说12月1月4月全部满仓大票,2月3月5月全部满仓小票,如果遇到一次失败,因为是全仓,所以会非常影响情绪的。但如果适当调整大小票的比例,或者在可转债中12月1月4月适当加大保守的比例,2月3月5月实当加大激进的比例,做好偶然失败的准备,长期坚持,说不定会有意外收获。
2025-02-07 18:36 来自上海 引用
20

持有封基

赞同来自: laplace jacktree 七月好好 马盖大将军 chiling1024 流沙少帅 gaokui16816888 丢失的十年 不虚不实 鹏0818 zhangtiang2008 滚雪球2020 终而复始 you123a 轻风佛面 Restone zjq2000 彩虹鸽 pppppp sasa66更多 »

最近5年涨幅,可转债等权指数仅次于纳指、标普500。但你要在纳指、标普500上有超额收益比登天还难,超越可转债等权指数非常容易,这几年我平均每年超越可转债等权指数大概10个点,最终战胜了纳指和标普500:
2025-02-07 08:46 来自上海 引用
25

持有封基

赞同来自: cdhr 孤独的长线客 plan30 kanglue machine 乐鱼之乐 大7终成 夏花秋果 几点到几点呢 好奇心135 一木不想说话 cn668158 shine001 Restone 流沙少帅 pangjl 他丫的 gaokui16816888 ficus daxian100 攀爬者2021 柿柿如意牛旋风 walkerdu 八大关 YmoKing更多 »

Deepseek评价可转债回测平台禄得网

昨天大弱小强,今天没想到继续大弱小强,更没想到主流宽基指数低开高走一片红。我发现大家越是预期低,市场越容易一片红;而大家越是预期高,市场往往是高开低走,似乎就是不让你猜到。



主流宽基指数涨幅居前的北证50大涨5.51%、科创50大涨2.89%;涨幅居后的上证50涨0.72%、沪深300涨1.26%。

申万一级行业指数全部上涨,涨幅居前的汽车涨4.00%、电子涨3.90%、计算机涨3.45%;涨幅居后的银行帐0.01%、农林牧渔帐0.25%、纺织服饰帐0.26%。还是银行弱。

4536只个股上涨、471只个股下跌,涨幅中位数1.66%。

陕西煤业、新产业、*ST大药等3只个股盘中创出最近1年新低,其中*ST大药盘中继续创出历史新低。陕西煤业连续创出1年新低,甚至今天这样普涨下还是下跌了0.05%。

中兴通讯、蓝思科技、三花智控、科大讯飞、拓普集团、润泽科技、歌尔股份、兆易创新、瑞芯微、领益智造、恒玄科技、光线传媒、翱捷科技、伯特利、恺英网络、全志科技、科达利、绿的谐波、艾力斯、中科创达等156只个股盘中创出最近1年新高,其中三花智控、拓普集团、瑞芯微、艾力斯、卧龙电驱、电连技术、广和通、兆威机电、芯动联科、纽威股份、峰岹科技、长盛轴承、银轮股份、江苏雷利、贝斯特、中坚科技、美格智能、东睦股份、雷赛智能等31只个股盘中创出历史新高。



503只可转债平均上涨1.15%,对应正股平均上涨2.16%。我的主仓20只可转债平均上涨1.72%,对应正股平均上涨2.86%。账户合计实际上涨1.85%。

超额收益主要来自卖出斯莱转债换入的天壕转债,卖出斯莱转债后上涨了0.62%,而买入天壕转债后上涨了1.62%。再加上小账户的涨幅因为斯莱转债的仓位更重导致超过平均值。今天账户合计创了历史新高,上一次还是去年12月12日创出的历史新高。

今天账户贡献最大的肯定是斯莱转债了,它的正股今天20%涨停,要说利好,一个是昨天盘后公告回购股票后注销,二是今天是蛇年第二个交易日,而正股的名字读音接近英语中的蛇字。但这些真真假假的所谓利好其实也不是今天刚出来,谁知道拉涨停的主力是怎么想的。唯一的理由就是正股拉了20%的涨停,总市值也只有76.77亿元,容易拉涨停才是真的,至于哪一天就不知道了。

蛇年才2个交易日,A股在deepseek概念的带领下,小盘股的表现远远超过大盘股。但也不可能老是这样的,或许明天,或许哪一天,肯定会有反过来的机会的。

我也用了一段时间的deepseek,整体来说,比起过去的一些大模型确实有进步,缺点就是用的人太多,再加上网络攻击,联网功能不太正常。我今天一大早问了DS一个问题:如何评价可转债回测平台禄得网?回答的非常全面:

如何评价可转债回测平台禄得网?
已搜索到 25 个网页
已深度思考(用时 19 秒)
好的,用户问如何评价可转债回测平台禄得网。我需要先看看用户提供的搜索结果中的相关信息。首先,网页2、4和10提到了禄得网的自定义因子轮动系统和大量策略回测,特别是支持API和数据下载,用户可以通过服务器获取历史数据,这对量化研究很有帮助。网页3、8和7讨论了禄得网的回测结果,比如年化收益率超过30%,最大回撤控制在23%左右,这说明平台在策略有效性方面表现不错。网页6和9则提到用户利用禄得网进行策略优化,提升了收益,但同时也指出回测和实战的差异,提醒用户注意实际操作的摩擦成本。
接下来需要综合这些信息,从功能、优势、局限性等方面进行评价。比如,禄得网的灵活性和数据支持是优势,但依赖历史数据和实战差异是局限。另外,用户生成的内容中提到的高收益和低回撤需要客观分析,不能忽视市场变化的影响。还要注意平台的技术支持是否稳定,比如网页4提到实盘4个月未死机,这可能是一个可靠性指标。同时,用户提到的千三滑点和手续费在回测中的设置是否合理,这也是评价的一部分。
需要引用多个网页的数据来支持观点,例如自定义因子和策略回测来自网页2、4,回测结果来自网页3、8,实战经验来自网页7、9。同时,网页10的大规模回测项目显示平台在策略多样性上的优势。但也要提到网页5无法访问,可能影响信息完整性。最后,总结时要强调平台的工具属性,建议用户结合自身需求谨慎使用。
禄得网(lude.cc)作为一款专注于可转债量化策略研究与回测的平台,近年来在投资者中积累了较高关注度。结合其功能设计、用户反馈及市场表现,以下从多维度对其进行综合评价:
________________________________________
一、核心功能与优势
1. 灵活的自定义因子系统
禄得网支持用户自定义多因子组合(如低转股溢价率、小规模、低价格等),并提供API接口与历史数据下载功能,便于开发者构建个性化策略24。例如,用户可通过Python调用服务器数据,实现自动化回测与实盘交易4。
2. 全面的回测参数设置
o 排除因子:可设置强制赎回、高价债(如收盘价>130元)、低评级等条件,控制回撤风险38。
o 轮动规则:支持每日、每周或自定义时间轮动,用户可测试不同换仓频率对收益的影响,如发现每日轮动在多数策略中收益更高(但需权衡手续费成本)78。
o 滑点与手续费模拟:允许设置千三交易费率及滑点(如0.01元),更贴近实战环境310。
3. 历史回测表现亮眼
据公开回测数据,部分策略(如“五低策略”:低溢价率、低价格、小规模、低转债占比、低市净率)在2018-2023年区间内年化收益率达31.2%,最大回撤23.3%,显著跑赢可转债等权指数及沪深30038。大规模回测项目(如“1000个策略回测系列”)显示,部分组合5年累计收益超10倍10。
________________________________________
二、用户应用场景与价值
1. 量化策略快速验证
平台降低了量化门槛,普通投资者无需编程基础即可通过预设参数测试策略,例如验证“双低轮动”(低价格+低溢价率)的有效性,或探索小众因子(如理论偏离度、期权价值)的贡献度310。
2. 实战优化指导
用户可通过回测发现关键规律,如:
o 换仓时机:同日换仓(收盘价卖出并买入)优于隔日换仓,因可转债指数长期呈上升趋势8。
o 因子权重:低溢价率是核心进攻因子,取消后收益显著下降;而市盈率、市净率等传统股票指标对可转债收益贡献有限38。
3. 社区与资源共享
禄得网用户常在雪球、知识星球等平台分享策略源码与实盘经验(如年化40%的轮动模型),形成互助生态24。
________________________________________
三、局限性与风险提示
1. 回测与实战的差异
o 数据过度拟合:部分策略依赖历史数据优化参数,可能在新市场环境下失效。例如,2023年新规后,近半数高收益策略表现下滑10。
o 摩擦成本低估:尽管平台模拟了滑点与手续费,但实战中流动性不足或极端行情可能导致实际成本高于回测假设7。
2. 平台依赖性与技术风险
o 数据源与API稳定性依赖禄得服务器,若服务中断可能影响实盘交易4。
o 部分高级功能(如私有因子)未公开计算逻辑,用户难以独立验证其有效性8。
3. 策略同质化与市场效应
若大量用户采用相似策略(如“双低轮动”),可能因资金集中涌入导致因子失效,需持续迭代策略69。
________________________________________
四、适用人群与使用建议
1. 适合群体
o 量化初学者:通过预设模板快速入门,理解因子作用机制10。
o 进阶投资者:结合API开发复杂策略,或通过社区资源优化现有模型4。
2. 操作建议
o 多周期验证:除历史全周期回测外,需单独测试新规后、熊市等特定时段的表现10。
o 分散风险:避免单一策略重仓,可组合不同因子(如“进攻型低溢价+防御型低价”)平衡收益与回撤39。
o 动态调整:定期复盘策略表现,根据市场变化(如政策调整、流动性波动)更新参数9。
________________________________________
五、总结
禄得网凭借其灵活的工具属性和丰富的策略库,成为可转债量化投资的重要辅助平台。其核心价值在于帮助用户快速验证策略逻辑、优化操作细节,但需警惕历史数据的局限性及实战复杂性。对于投资者而言,平台更应作为“策略实验室”而非“收益保障器”,需结合自身风险偏好与市场认知谨慎使用。未来,若能在因子透明度、实时数据覆盖及风控模块上进一步升级,其工具属性将更加完善。
2025-02-06 16:52 来自上海 引用
15

持有封基

赞同来自: 七月好好 攀爬者2021 孤独的长线客 robin8848 lsj51453665 好奇心135 pppppp 不虚不实 吃糖看月亮 几点到几点呢 gaokui16816888 skyblue777 乐鱼之乐 geneous 沙漠之狐更多 »

怎么在股市里正确地吸取教训?

今天到收盘最终大小盘两极分化,但即使是涨的最好的科创50,依然是高开低走。



主流宽基指数中领涨的科创50涨2.90%、微盘股指数涨2.23%;领跌的上证50跌0.84%、上证指数跌0.65%。

申万一级行业指数中领涨的计算机涨6.27%、传媒涨3.48%、电子涨1.23%;领跌的综合跌2.31%、煤炭跌2.20%、建筑材料跌2.11%。

3304只个股上涨、1717只个股下跌,涨幅中位数0.88%。

陕西煤业、国电电力、潞安环能、神农集团、大立科技、仕净科技、ST锦港、*ST龙津、*ST大药等9只个股盘中创出最近1年新低,其中*ST龙津、*ST大药盘中创历史新低。没想到像陕煤这样浓眉大眼的个股也创了1年新低。

三花智控、拓普集团、润泽科技、瑞芯微、安克创新、光线传媒、恺英网络、双环传动、网宿科技、卧龙电驱、光环新网、金发科技、电连技术、广和通、托尔思、纽威股份、汉得信息、泛微网络、震裕科技、彩讯股份等47只个股盘中创出最近1年新高,其中三花智控、拓普集团、卧龙电驱、电连技术、豪能股份、中大力德、安培龙、福莱新材、无锡振华、新炬网络等10只个股盘中创出历史新高。



503只可转债平均上涨0.70%,对应正股平均上涨0.69%;我的主仓20只可转债平均上涨0.99%,对应正股平均上涨1.08%。账户合计实际上涨1.01%。

今天可转债非常强势,甚至比正股涨的都多。可转债价格中位数120.076元,离开去年12月12日高点还有2元多差距。现在可转债肯定不算低估了,但谁知道这波能涨到什么程度呢?历史上2月份3月份都是小盘和可转债的好日子,今天才是2月份的第1天。

今年以上证指数为首的大部分主流指数都是下跌的,而北交所、微盘股、可转债等以小微为特征的品种都是上涨的。

今天下跌的是以银行、红利、煤炭等大票,但个股在以deepseek概念引导下涨的还不错,个股的涨幅中位数高达0.88%,反而是前几年涨的不错的陕西煤业今天出乎意外的创出了最近1年来的新低,大跌了4.05%。很多持有大票的投资者又在唉声叹气了,实话实说,A股确实是地狱级难度。但很多投资者的方法是有很大问题的。

举个例子,有人买了一个股票后长期被套,后来总算解套了,持有了好几年,赚了5%后清仓了。但问题是这只股票可能还继续上涨,甚至涨了很多。这个投资者总结了这个个案后,觉得不能这样有点微利就清仓,第二次又碰到了一个长期被套后解套,涨了20%都不平仓,最后又跌下去二次被套。那么他第二次总结经验,涨到20%就平仓,这个经验会有用吗?

类似这样的总结经验,说实在不是少数。这种方法最大的问题是仅仅总结了自己的一个个案的经验,未来重现的概率不会很大。甚至每次总结出来的经验下次都是错的。

从概率的角度来说,如果操作失败是小概率事件,那么要学会分散加上坚持,而不是轻易放弃。很多人把每次操作看作是做是非题,把现实世界看成只有黑白两种颜色,无法接受失败。而在股市里再牛逼的人都无法避免失败的操作,如果能控制在一定范围内的失败,只有接纳它,才能真正取得成功。

想起几十年前做码农的经历,刚开始因为软件的规模不大,确实可以做到100%不出现bug,但后来随着系统规模越来越大,很难做到没有bug了,后来知道了即使像微软这样大型的商品化软件,都不可避免的会出现bug,只不过不要出现致命的。

另外量化回测的好处就是能避免很多似是而非的错误,用回测替代真金白银的试错,效率也大大提高了。只不过回测通过的,将来也不一定不会出错,但至少要减少很多。
2025-02-05 17:42 来自上海 引用
1

行不改姓的老鬼

赞同来自: 塔塔桔

金老师,新年快乐!
今天初五迎财神,祝愿金老师好人好运,带领大家奔大康!
2025-02-02 16:17 来自广东 引用
0

老等76

赞同来自:

@持有封基
为什么今天一致预期上涨却下跌了?今天开盘前大部分专家和大V们包括我都预期上涨,结果被打脸了。 主流宽基指数中唯一上涨的上证50涨0.18%,领跌的创业板指跌2.73%、科创50跌2.03%。申万一级行业指数中领涨的银行涨1.40%、公用事业涨1.38%、建筑材料涨1.33%;领跌的通信跌3.97%、电子跌2.92%、机械设备跌2.24%。1781只个股上涨、3195只个股下跌,涨幅中位数-0.7...
金老师,新年快乐!
2025-01-29 11:39 来自河南 引用
10

持有封基

赞同来自: 孤独的长线客 塔塔桔 乐鱼之乐 逍遥chen 湘漓浪云 马拿巴子 几点到几点呢 好奇心135 gaokui16816888更多 »

为什么今天一致预期上涨却下跌了?

今天开盘前大部分专家和大V们包括我都预期上涨,结果被打脸了。



主流宽基指数中唯一上涨的上证50涨0.18%,领跌的创业板指跌2.73%、科创50跌2.03%。

申万一级行业指数中领涨的银行涨1.40%、公用事业涨1.38%、建筑材料涨1.33%;领跌的通信跌3.97%、电子跌2.92%、机械设备跌2.24%。

1781只个股上涨、3195只个股下跌,涨幅中位数-0.77%。

晶科能源、以岭药业、金域医学、太极集团、晨鸣纸业、中交地产、仕净科技、海南椰岛、中科云网、ST天山、*ST普利、高斯贝尔、*ST龙津、*ST大药等14只个股盘中创出最近1年新低,其中*ST普利、*ST龙净、*ST大药等3只个股同时创出历史新低。

工商银行、中国银行、兴业银行、浦发银行、光大银行、江苏银行、上海银行、拓普集团、成都银行、瑞芯微、渝农商行、思源电气、安克创新、恒玄科技、杰瑞股份、天山铝业、乖宝宠物、长沙银行、长飞光纤、春风动力等60只个股盘中创出最近1年新高,其中中国银行、江苏银行、上海银行、思源电气、乖宝宠物、春风动力、纽威股份、匠心家居、豪能股份、中大力德、华纬科技等11只个股盘中创出历史新高。



503只可转债平均下跌0.83%,对应正股平均下跌0.68%;我的主仓20只可转债平均下跌0.84%,对应正股平均下跌0.93%,账户合计实际下跌0.79%。

今天账户跌的少点主要是两方面因素,一方面小账户跌的少,另一方面今天我卖出了崇达转2,买入了联诚转债,崇达转2卖出后下跌了0.53%,联诚转债买入后上涨了0.18%,一进一出超额了0.71%。

其实崇达转2是上周五刚刚买进的,今天卖出还亏了点。但量化轮动就是这样,永远不看过去的成本,只看当期的排名。如果今天舍不得割肉崇达转2,那么超额收益也不会来。

上周五全市场的可转债中位数到了120以上,今天就下跌了,而且可转债的价格跌的比正股的下跌都多。上一个高点在去年12月12日,那天我的账户也创了历史新高,至今没打破当天转债的中位数达到了122元以上,超过120元的只维持了3个交易日,去年全年可转债价格中位数超过120元也就是12月11日、12日、13日3天。

今天是春节长假前最后一个交易日,历史数据涨多跌少,开盘前很多专家大V基本一致预计今天会上涨。那么在股市里为什么会出现一致性预期结果走向反面呢?

我觉得市场出现今天这样一致性预期看涨的时候,要买的可能已经提前买了,这就解释了为什么上周五会莫名其妙的上涨了。而这些投资者预判今天上涨,想把前期买入的筹码乘今天上涨卖出,没想到等来的不是上涨而是下跌,这些资金本来就是短期行为,看到下跌选择慌不择路的卖出,加剧了今天的下跌。

也就是说,今天的下跌,很有可能是因为大家预判了一致性的预判导致的。带来的经验教训是出现一致性预判是要当心走向反面。
2025-01-27 17:18 来自上海 引用
8

持有封基

赞同来自: 塔塔桔 红星闪闪666 流沙少帅 anonymous00 gaokui16816888 鹏0818 pppppp 布局将来更多 »

管中窥豹看2024年A股盈利

截止到2025年1月26日,A股的5393家上市公司中,公布了2024年全年归母净利润以及快报、预报(公布上下限的按照平均值计算)以及有2777家了,公布的比例为51.49%,超过了一半了,我们统计了公布数据的公司的合计,原始数据来自choice,首先来看看按照上市板块的统计(归母净利润单位为亿元):



2777家公司中,2024年第4季度盈利的为1231家,盈利比例44.33%,分板块来看,2024Q4季度7个板块中除了上交所盈利外,其他6个全部板块亏损,下降幅度最大的科创板,Q4从去年同期亏损38.17亿到今年亏损162.24亿,下跌325.09%;创业板下跌207.45。与双创板块大幅度下跌形成鲜明对比的是上交所主板在Q4同比还增加了7.36%。而上交所、深交所的风险警示板分别同比上升了42.63%和16.05%,当然它们也没有盈利,只不过是同比亏损减少了。不管怎么说亏损减少总是好事情。

再来看看按照申万一级行业分别统计的结果:



分行业看,Q4的盈利面最高的还是银行(87.50%)、非银金融(78.38%)、有色金属(71.64%)、家用电器(66.67%)等。而盈利面最低的分别是房地产(18.57%)、传媒(20.00%)、建筑材料(25.00%)、建筑装饰(26.44%)等,盈利的绝大部分都是金融行业,而亏损的大部分都是和房地产相关的行业。

再来看Q4的同比增长,最高的是农林牧渔(629.09%)、交通运输(259.56%)、电子(166.43%)、非银金融(111.72%),大部分都和行业的周期性相关。下降比例最大的是钢铁(-1879.87%)、电力设备(-1451.79%)、建筑材料(-1057.08%)。
我们再来看看中证规模指数的情况:



Q4盈利面最大的是沪深300板块,盈利比例高达72.07%,最低的是其他类,只有35.75%。Q4的5个规模板块,只有沪深300是同比增加了20.57%,从2023Q4的1663.55亿元,增加到2024Q4的2005.77亿元,其他几个板块不仅同比下降,而且整个板块都是亏损的,中证500从2023Q4的盈利101.47亿元到2024Q4的亏损77.50亿。反而是1007家公司的其他类,虽然2024Q4亏损了1164.83亿元,但同比2023Q4亏损933.70亿元,亏损增幅24.75%还是最少的。

最后看一下2024Q4以公布的归母净利润的前10后10,前10里银行居多,后10里房地产居多:



综上所述,虽然只有一半多一点的公司出了年报、快报和预告,但2024年整体业绩的下滑是一个不争的事实,我们既要看到问题,也不能因此而丧失信心。说不定业绩的谷地就在前面。
2025-01-26 15:55 来自上海 引用
0

芝麻开花啦

赞同来自:

2025-01-26 15:19 来自江苏 引用
0

垂钓者的马扎

赞同来自:

持有银行股票属于哪一类?胜率赔率?低频率。
2025-01-26 06:01 来自河北 引用
34

持有封基

赞同来自: 塔塔桔 负重远行 lhy77 robin8848 北海忽 zhang76 alongside sam7 Rocky谦 xgjxgq 追梦者雷 cn668158 wtpgajm zddd10 zgj28312832 realbean 好奇心135 sg0511 垂钓者的马扎 lrc168 逍遥chen apple2019 乐鱼之乐 浪里金沙 滚雪球2020 招金牛 lgs11 柿柿如意牛旋风 ficus 阿彪12345678 sunpeak 捡钢镚 夏花秋果 可乐芬达王老吉更多 »

投资中的不可能三角形

投资中的不可能三角形,说的是我们无法把投资中的胜率、赔率和频率这三者同时做的很高。

先来解释一下,胜率是指每次交易中的盈利的比例,赔率是指盈利的多少,而频率是指交易次数的多少。

那么为什么把胜率、赔率、频率同时做的很高是不可能的呢?

高胜率要求精准判断,往往需要较长时间的研究和等待(低频);高赔率依赖“以小博大”的机会,但这类机会通常稀缺且不确定性高(低胜率);高频交易则需在短时间内快速决策,难以兼顾深度研究和风险控制。

高频交易(一秒钟几十次)需要机械化执行,但高胜率和高赔率往往依赖主观判断;长期投资需耐心等待高赔率机会,但高频操作会稀释这种优势。

我们来看几个极端例子

最高的胜率是银行存款、买国债(持有到期)等,胜率几乎是100%,但赔率非常低,也就是说利息很低,频率也很低,一般至少存几个月到几年。注意这里的买国债是指持有到期不会亏损,如果是短线炒作国债,胜率其实并不高,也就是说亏损的可能性并不小。

买彩票,是典型的高赔率,虽然严格的来说是一种金融消费行为而不是投资行为。因为一旦中奖,赔率小到几倍,大到几万倍都有可能,但它的胜率是微乎其微,期望值是非常小的小概率事件,所以只能当作是一种金融消费行为,如果是高频,那从理性的角度来说是不可取的。

极端高频(一秒钟几十次交易)的典型例子就是西蒙斯的大奖章基金,它完全依靠数学、物理学的博士的量化策略,高额的硬件投资,一秒钟交易几十次的策略,在1988年至2018年的30年间,费前年化收益率为 66.1%,扣除5%的管理费和44%的业绩提成后,费后年化收益率为 39.1%。它的赔率非常小,胜率也一般,唯一突出的就是高频交易,但就是因为靠交易获得的收益,所以它的容量限制在100亿美金以内,规模做不大。但这个做不大主要是和巴菲特这样的规模相比,和我们小散的资金量相比还是一个巨无霸的体量。

巴菲特是典型的高赔率策略,频率非常低(“一生只打20次孔”),一次买卖可能几年甚至10年20年都有可能,胜率也很高。只不过我觉得巴菲特的策略偏成长,和他的老师格雷厄姆偏价值的策略相比,赔率可能略高,胜率可能略低点。

索罗斯的宏观对冲,专注捕捉市场极端波动机会(如1992年做空英镑),赔率极高,但需长期等待机会(中等频率),且胜率较低(如索罗斯部分交易的胜率不足40%)。它的核心逻辑是通过反身性理论识别市场失衡点,追求“一击必中”。

A股“涨停板敢死队”,它的特点是低胜率、高赔率、高频率,依靠高频交易和情绪博弈,另外还有不少“不明真相的群众”的跟随,少数人的高收益是依赖少数盈利特别多的高赔率。
我们这里讨论胜率、赔率、频率的不可能三角形,并不是说那种策略最好,而是通过讨论找到适合自己的策略。比如我现在在用的可转债满仓轮动,其实它的胜率也就是在50%多点,最多只能算是一个中等胜率的策略,历史上被我割肉的可转债至少也有100多只;赔率也只能算中等,最高的收益率大概在10%-20%,最普通的也就是几个点。而频率也只能算中等,因为我的持有周期一般在几天到几周,很少超过几个月的。

同样可转债的策略,也有高胜率、中赔率、低频率的,这就是买入低价策略(或者高YTM策略),低价买入,不到130元不卖出,这样它的胜率非常高,赔率一般,但频率相对很低。适合一部分不愿意看到割肉卖出的投资者。
2025-01-25 21:11 来自上海 引用
15

持有封基

赞同来自: 乐鱼之乐 gaokui16816888 hx279 凡创业2026 不虚不实 几点到几点呢 流沙少帅 geneous kolanta XXWWJJ npc小许 YmoKing 新手学股票 e老实和尚 好奇心135更多 »

意想不到的反而来了

昨天一出利好就盼牛市,结果盼来一个高开低走;今天没人盼了,慢牛却来了,以后不好说,至少今天的市场像一个慢牛的走势:低开高走一路慢慢上扬。



主流宽基指数中涨幅居前的中证1000涨1.87%、中证2000涨1.45%;涨幅居后的上证50涨0.45%、北证50涨0.60%。

申万一级行业指数中领涨的计算机涨3.72%、传媒涨2.61%、通信涨2.18%;领跌的食品饮料跌0.41%、公用事业跌0.26%、房地产跌0.15%。

3783只个股上涨、1145只个股下跌;涨幅中位数0.84%。

潞安环能、以岭药业、太极集团、晨鸣纸业、仕净科技、海南椰岛、中科云网、大晟文化、*ST普利、建艺集团、高斯贝尔、荣丰控股、*ST龙净、*ST大药等14只个股盘中创出最近1年来新低,其中中科云网、*ST普利、建艺集团、*ST大药等4只个股盘中创出历史新低。

兴业银行、光大银行、三花智控、拓普集团、润泽科技、渝农商行、宇通客车、思源电气、恒玄科技、长沙银行、宏发股份、英维克、长飞光纤、绿的谐波、太辰光、翱捷科技、网宿科技、卧龙电驱、电连技术、广和通等93只个股盘中创出最近1年来新高,其中拓普集团、宇通客车、电连技术、峰岹科技、五洲新春、博创科技、长盛轴承、中坚科技、淳中科技、龙迅股份、肇民科技、中大力德、新亚电子等14只个股同时创出历史新高。



503只个股平均上涨0.68%,对应正股平均上涨1.16%。我的主仓20只可转债平均上涨0.91%,对应正股平均上涨1.44%。账户合计实际上涨0.84%。创出今年新高,离开历史新高还有0.88%

今天账户虽然跑赢了可转债等权指数,但上涨0.84%却跑输了不换可转债的0.91%。主要是今天卖出松霖转债买入崇达转2后,卖出的松霖转债还涨了0.35%,买入的崇达转2反而跌了0.93%,一进一出差了1.27%。

但这种情况还是要看整体是否有超额收益,像前天卖出精装转债和雅创转债,买入朗科转债和法兰转债,当天也是有负的超额收益,但到了今天,买入的朗科转债涨了2.26%、法兰转债涨了0.32%,卖出的雅创转债虽然也涨了0.56%,但精装转债则下跌了1.32%。一进一出超额了1.67%。即使个案失败,只要这个策略的整体胜率和赔率还是算的过来的,那还算要坚持。至少我这个策略今年快一个月,实盘收益又超额了可转债等权指数大概1个点。从2021年起平均每年超额可转债等权指数大概10个点。

昨天一早开会,还是有不少人当利好冲了进去,最终用有些人的话来说,盼望长期资金,谁知道自己冲进去做了长期资金。今天大家的期望值并不高,开盘低开就可以知道。但正是因为大家的期望值不高,涨了一点就喜出望外。

春节长假前还有下周一1个交易日,不管是按照月末效应,还是按照春节长假效应,这一天上涨的概率比较大。但也只是概率比较大,并不是一定会上涨的。下周一如果下跌了也不要来骂我。
2025-01-24 16:41 来自上海 引用
14

持有封基

赞同来自: 七月好好 孤独的长线客 轻风佛面 geneous 乐鱼之乐 好奇心135 不虚不实 yc138 可乐ABC 包包肚 几点到几点呢 彩虹鸽 流沙少帅 pppppp更多 »

高开低走何时了?

早上的会议成了今天高开低走的一个触发,尽管有个别指数收红,但全部都是留下了阴线,只不过有的是真阴线,有的是假阴线。



主流宽基指数中领涨的上证50涨0.63%、上证指数涨0.51%;领跌的科创50跌0.95%、中证1000跌0.46%。

申万一级行业指数中领涨的银行涨2.30%、非银金融涨1.33%、房地产涨0.90%;领跌的通信跌1.48%、电子跌1.48%、国防军工跌0.87%。

2217只个股上涨、2652只个股下跌,涨幅中位数-0.11%。

晶科能源、潞安环能、以岭药业、金域医学、葵花药业、迈威生物、金凯生科、海南椰岛、中科云网、*ST普利、建艺集团、*ST大药等12只个股盘中创出最近1年新低,其中*ST普利、建艺集团、*ST大药盘中创出历史新低。

兴业银行、光大银行、上海银行、长沙银行、绿的谐波、太辰光、隆鑫通用、虹软科技、万辰集团、汉得信息、江苏雷利、中坚科技、淳中科技、电光科技、龙迅股份、仕佳光子、华联股份、德昌股份等48只个股盘中创出最近1年来新高,其中太辰光、峰岹科技、万辰集团、江苏雷利、中坚科技、淳中科技、龙迅股份、德昌股份、川环科技、福莱新材、新亚电子等11只个股盘中创出历史新高。



503只可转债平均下跌0.13%,对应正股平均下跌0.12。我的主仓20只可转债平均上涨0.08%,对应正股平均上涨0.11%。账户合计实际上涨0.05%。今天主要是小账户微跌了一点,拖累了整体的表现。

今天本来打算去理发的,结果因为春节前大家都集中去理发,说要等候1个多小时,我不愿意。去了医院补了点常用的药,准备春节长假。所以今天没做任何操作。

今天开盘后大概10分钟左右指数达到最高点,成交量也急剧放大。但好景不长,10分钟后就开始一路下跌了。成交量也急剧萎缩。开盘急速拉升,说明还是有一部分人认为这个利好能延续,可惜更多的人把这个利好当作是一个出货的机会。而且多次出利好-高开低走后,强化了大部分人的神经反映,未来这样的画面会一而再、再而三的出现,直到没人因为类似的利好追进去拉高,真正的利好才会回来。

截止到昨天的预告(含快报),1794家A股公司中,预赢的925家,预亏的869家,亏损比例48.44%,盈利中位数690万元。虽然盈利的比亏损的略多,但亏损面还是不小。而且盈利公司多半是金融企业,亏损公司多半是实体企业。
2025-01-23 16:45 来自上海 引用
22

持有封基

赞同来自: 孤独的长线客 轻风佛面 starcai 滚雪球2020 乐鱼之乐 可乐ABC gaokui16816888 湖塘 多多的进阶 pppppp kolanta 精品童装 起个名 流沙少帅 e老实和尚 cdhr 好奇心135 不虚不实 plan30 捡钢镚 dingpenglei 鹏0818更多 »

神奇的市场

今天是北方的小年,A股绝大部分指数都是绿的。



主流宽基指数中跌幅较小的科创50跌0.10%、中证500跌0.48%;跌幅较大的北证50跌4.08%、上证50跌1.30%。

申万一级行业指数中唯一上涨的板块通信涨1.71%;领跌的房地产跌3.42%、传媒跌1.97%、银行跌1.84%。

999只个股上涨、4028只个股下跌,涨幅中位数-1.07%。

陕西煤业、晶科能源、潞安环能、以岭药业、金域医学、葵花药业、固德威、亚辉龙、迈威生物、铖昌科技、百诚医药、金凯生科、海南椰岛、*ST普利、建艺集团、*ST大药等16只个股盘中创出最近一年新低,其中晶科能源、固德威、*ST普利、*ST大药等4只个股同时创出历史新低。陕西煤业前几年还是大牛股,从2019年到2024年连续上涨了6年,没想到今天创出了最近1年的新低,今年不到1个月下跌了8.98%。

中兴通讯、拓普集团、兆易创新、沪电股份、华勤技术、生益科技、深南电路、巨化股份、宇通客车、安克创新、胜宏科技、杰瑞股份、麦格米特、景旺电子、英维克、乐鑫科技、光环新网、翱捷科技 、太辰光、方正科技等82只个股盘中创出最近一年新高,其中拓普集团、华勤技术、宇通客车、胜宏科技、英维克、太辰光、峰岹科技、北特科技、博创科技、明阳电气、长盛轴承、欧陆通、德科立、中坚科技、金奥博、福莱新材、凯尔达等17只个股同时创出历史新高。



503只可转债平均下跌0.17%,对应正股平均下跌0.92%;我的主仓20只可转债平均下跌0.22%、对应正股平均下跌0.58%。账户合计实际下跌0.25%。

今天卖出了雅创转债和精装转债,买入了法兰转债和朗科转债,略有负超额。不过今天能盈利最多精装转债,真的是一个意外之喜,也是大A比较搞笑的地方。

昨天精装转债的正股公布了2024年全年预告,预计赢转亏超过3.5亿,而且营收大幅度下降,这个雷暴的。同时昨天春秋电子预告2024年净利润预增554%-629%。这个大利好对我来说特别郁闷,因为我昨天刚刚卖出了春秋转债换入了润禾转债。

大A就是大A,什么想不到的事情都可以发生。今天精装转债和正股如期低开,但神奇的是,有一股神奇的力量把它们快速拉起,正股最高涨7.00%,收盘涨3.91%,精装转债最高涨3.13%,收盘涨1.28%。

精装涨了而且远远超过我的阈值的,当然卖了。神奇的是,业绩暴涨的春秋电子,正股到收盘只上涨了0.72%,而春秋转债不仅不涨,反而下跌了0.50%。更加神奇的是,昨天我用春秋换的润禾,今天竟然微涨了0.11%。

也就是说,开盘前还在后悔用春秋换了润禾,到收盘竟然换对了。踩雷了业绩大幅度下滑的精装转债,竟然是我今天20只可转债里涨幅第一的。

当然,今天精装涨了,有人解释是因为公司投资了半导体核心元器件HBM,甚至装修主业收入大幅度滑坡,解释成主动快速收缩老业务。而春秋转债跌了,当然也可以解释成利好不及预期。

大A就是这样神奇,你服不服?反正先开枪后画靶子,怎么画都是对的。
2025-01-22 18:18 来自上海 引用
0

山顶洞人出没

赞同来自:

你好,请问你是根据什么历史数据择时的?成交额还是什么?
2025-01-22 16:56 来自广东 引用
13

持有封基

赞同来自: 流沙少帅 孤独的长线客 乐鱼之乐 skyblue777 不虚不实 gaokui16816888 明园 xgjxgq LukeTao npc小许 好奇心135 我心安然 阿彪12345678更多 »

踩雷“接二连三”

今天上证指数等再次高开低走,最终收了一根真阴线。



主流宽基只是中领涨的科创50涨0.83%、中证1000涨0.49%;领跌的微盘股指数跌1.13%、北证50跌0.51%。

申万一级行业指数中领涨的电子涨1.73%、通信涨1.64%、房地产涨1.01%;领跌的石油石化跌1.56%、钢铁跌1.39%、煤炭跌1.34%。

1898只个股上涨、3084只个股下跌,涨幅中位数-0.43%。

晶科能源、潞安环能、葵花药业、迈威生物、海南椰岛、*ST普利、*ST大药等7只个股盘中创出1年新低,其中*ST普利、*ST大药盘中创出历史新低。

中兴通讯、三花智控、拓普集团、生益科技、深南电路、瑞芯微、恒玄科技、胜宏科技、豪迈科技、杰瑞股份、麦格米特、乖宝宠物、晶晨股份、长沙银行、景旺电子、彩虹股份、乐鑫科技、全志科技、英维克、双环传动等122只个股盘中创出1年新高,其中乖宝宠物、乐鑫科技、兆威机电、峰岹科技 、万辰集团、润欣科技、北特科技、博创科技、五洲新春、长盛轴承、天健股份、肇民科技、潍柴重机、福莱新材、金沃股份、智迪科技等16只个股盘中创出历史新高。



504只可转债平均上涨0.31%,对应正股平均下跌0.17%。我的主仓20只可转债平均上涨0.06%,对应正股平均下跌0.63%。账户实际合计下跌0.01%。

今天再次跑输主要是又踩雷了国城转债,也是因为2024年年报预告亏损,也是本来3个季度盈利。正股跌了5.59%,国城转债跌了4.08%。第二个原因是小账户的影响更大。第三个原因是今天我卖出春秋转债买入润禾转债,结果贡献了负超额。刚刚看到预告,春秋电子业绩大增,偏偏今天被我卖了。最近确实运气不好。

即使这样,今天才微跌了0.01%,这个月收益率2.76%还是跑赢了绝大多数指数和基金、个股。自我安慰一下。

截止到昨天最新公告,1263只个股中,快报或者预告的2024年全年利润平均值,616家盈利,647家亏损,亏损面高达51.23%。利润前10为:、招商银行(1484亿)、贵州茅台(857亿)、兴业银行(772亿)、中信银行(686亿)、中远海控(491亿)、浦发银行(453亿)、长江电力(325亿)、新华保险(248亿)、中信证券(217亿)、牧原股份(175亿),利润后10为:、隆基绿能(-85亿)、首开股份(-85亿)、通威股份(-73亿)、华夏幸福(-50亿)、中国一重(-35亿)、闻泰科技(-35亿)、重庆钢铁(-33亿)、东方日升(-31亿)、亚泰集团(-30亿)、北辰实业(-30亿),中位数为-868万。

这两天踩雷真的是“接二连三”,昨天踩了2只,今天又踩了第3只。春节长假前还有4个交易日,业绩变动大的需要在1月份预告,但愿不要再来这样的“接二连三”了。相信会均值回归的。

一个公司肯定会有一个公司的目标,最基本的销售收入、利润等。作为一个企业的管理者,有一项重要工作就是分解目标,比如说按照部门分解,还有按照时间分解等。和企业管理类似的,我们做投资的也一样,持有多只股票或者可转债,类似按照部门分解目标。大部分个股或者个债盈利,少数亏损,最终也能把目标完成。1年的目标,至少分成4个季度。如果连续3个季度都没完成目标,最后一个季度不仅完成了季度目标而且还把年度目标完成了,虽然最终是完成了,但这样的进度是不符合企业管理中的目标管理的。类似的问题在投资中我们也是希望能平稳,不要连续几个月甚至连续几年亏损,最后赌一把大的成功了。这样的成功很容易滋生侥幸心理,而且十有八九再赌一次大的结果失败了。
2025-01-21 17:32 来自上海 引用
0

bulles

赞同来自:

可能还是生产力过剩导致,如果调控不好,或许面临严重生存淘汰。
2025-01-21 12:51 来自山东 引用
10

持有封基

赞同来自: 滨湖203 胡说之 好奇心135 pppppp skyblue777 彩虹鸽 wjl127411 自以为价值投资 gobidaozhao 作手十一更多 »

截止到昨天最新公告,1263只个股中,快报或者预告的2024年全年利润平均值,616家盈利,647家亏损,亏损面高达51.23%。利润前10为:招商银行(1484亿)、贵州茅台(857亿)、兴业银行(772亿)、中信银行(686亿)、中远海控(491亿)、浦发银行(453亿)、长江电力(325亿)、新华保险(248亿)、中信证券(217亿)、牧原股份(175亿),利润后10为:隆基绿能(-85亿)、首开股份(-85亿)、通威股份(-73亿)、华夏幸福(-50亿)、中国一重(-35亿)、闻泰科技(-35亿)、重庆钢铁(-33亿)、东方日升(-31亿)、亚泰集团(-30亿)、北辰实业(-30亿),中位数为-868万。

应该说上市公司是中国企业最优秀的一部分,亏损面那么多是历史上罕见的,而且亏损多的都是实体经济,盈利多的都是金融业。
2025-01-21 09:57 来自上海 引用
0

蓝河谷 - 独立投资者,仔细区分事实与观点。

赞同来自:

也踩了万讯。
2025-01-20 21:22 来自广东 引用
0

凤云888

赞同来自:

@持有封基
我今天踩雷双响炮指数又是一片红彤彤,虽然涨的不多,上证指数、上证50、沪深300、中证500等指数还走出了高开低走的假阴性,但最终毕竟还是都收红了。 主流宽基指数涨幅居前的创业板指涨1.81%、微盘股指数涨1.71%;涨幅居后的上证指数涨0.08%、上证50涨0.25%。申万一级行业指数中领涨的电力设备涨2.16%、纺织服饰涨1.58%、社会服务涨1.25%;领跌的煤炭跌1.26%、石油石化跌1...
东王上台福音普照*
2025-01-20 19:12 来自山东 引用
10

持有封基

赞同来自: 孤独的长线客 轻风佛面 乐鱼之乐 流沙少帅 塔塔桔 gaokui16816888 蓝河谷 好奇心135 作手十一更多 »

我今天踩雷双响炮

指数又是一片红彤彤,虽然涨的不多,上证指数、上证50、沪深300、中证500等指数还走出了高开低走的假阴性,但最终毕竟还是都收红了。



主流宽基指数涨幅居前的创业板指涨1.81%、微盘股指数涨1.71%;涨幅居后的上证指数涨0.08%、上证50涨0.25%。

申万一级行业指数中领涨的电力设备涨2.16%、纺织服饰涨1.58%、社会服务涨1.25%;领跌的煤炭跌1.26%、石油石化跌1.02%、建筑材料跌0.68%。

3513只个股上涨、1436只个股下跌,涨幅中位数0.76%。

海南椰岛、*ST大药盘中创出最近1年新低,其中*ST大药同时创出历史新低。

巨化股份、生益科技、瑞芯微、豪迈科技、杰瑞股份、乖宝宠物、景旺电子、彩虹股份、艾力斯、卧龙电驱、青岛银行、圣泉集团、移远通信、江海股份、隆鑫通用、广和通、五洲新春、双林股份、杰华特、仙鹤股份等77只个股盘中创出最近1年来新高,其中巨化股份、豪迈科技、艾力斯、五洲新春、长盛轴承、匠心家居、潍柴重机、无锡振华、福莱新材、金沃股份等10只个股盘中创出历史新高。



504只个股评价上涨0.63%,对应正股平均上涨1.07%;我的主仓20只可转债平均上涨0.33%,对应正股平均上涨0.35%。账户合计实际上涨0.30%。

今天账户表现欠佳,主要是主仓对应的20只正股中有2只踩雷,九洲转2和万讯转债对应的正,2024年前3个季度的归母净利润都是正数,结果周末公布的全年归母净利润为负,而且九洲转2在2024年全年还亏损了好几个亿。

截止到最新数据,公布了2024年快报和预告的一共有公司963家,亏损526家,亏损面高达54.62%,亏损中位数高达2305万。目前盈利前10名的是:招商银行(1484亿)、贵州茅台(857亿)、兴业银行(772亿)、中信银行(686亿)、中远海控(491亿)、浦发银行(453亿)、中信证券(217亿)、牧原股份(175亿)、上港集团(146亿)、立讯精密(134亿)。亏损前10名的是首开股份(-85亿)、隆基绿能(-85亿)、通威股份(-73亿)、华夏幸福(-50亿)、闻泰科技(-35亿)、中国一重(-35亿)、重庆钢铁(-33亿)、东方日升(-31亿)、北辰实业(-30亿)、大全能源(-29亿)

一半以上的公司亏损,在我印象里好像还不太常见,虽然只公布了20%不到的数量。我今天虽然一天里踩了两个雷,但按照比例看,5000多家公司有526家亏损,我现在20家公司2个踩雷,基本上都是在10%比例。

今天九洲集团最多跌9.76%,收盘跌3.58%;九洲转债最多跌4.01%,收盘跌1.29%。万讯自控最多跌5.91%,收盘跌5.03%;万讯转债最多跌2.52%,收盘跌2.30%。不管是正股还是可转债,跌幅其实还算比较温柔,当然可转债跌幅就更小了。

这样的踩雷是否能避免呢?我觉得很难避免。在类似的回测中我发现,很多时候加了苛刻的条件后,虽然避免了一些踩雷,但收益率反而下降了。

其实这是一个悖论。比如说做可转债,我是采用轮动的方式,在轮动中割了很多亏损的可转债,胜率并不高。也有人采用到期收益率为正的办法,死守到盈利,这样胜率固然高了,但频率大幅度下降,赔率也不一定高。胜率、赔率、频率这不可能三角形,不可能都要的。

回过头来再说说2024年的盈亏的事情,我觉得因为大家的预期比较低,不排除有一些公司预提了亏损,甚至把2025年的亏损都做到2024年的4季度里去,当然这只是一个推测,周末公布了那么多公司在2024年的亏损,今天市场受的影响其实非常小,甚至还出现大面积普涨的现象。说明了投资者对此已经有了相当的预期,盼望2025年业绩能触底反弹。
2025-01-20 19:04修改 来自上海 引用
4

易尔奇 - 安待久 渐息散

赞同来自: gaokui16816888 Kluer sunpeak 轻风佛面

@持有封基
前两天我的一个网络好友评价我,说我不算一个特别有天赋的人,但善于不断学习。我想了一想这个评价确实是比较准确的。我做封基、做白马、做可转债,都只能在平均值左右的水平,但每次在合适的时候找到合适的品种并不断学习,这可能是我的长处,即使退休多年,也是不断通过学习新的知识来寻找"鱼多的池塘“,活到老,学到老。
内心自认平凡者已走向不凡…
向金老师学习向金老师看齐。
2025-01-20 07:54 来自泰国 引用
0

hyfwin

赞同来自:

@持有封基
前两天我的一个网络好友评价我,说我不算一个特别有天赋的人,但善于不断学习。我想了一想这个评价确实是比较准确的。我做封基、做白马、做可转债,都只能在平均值左右的水平,但每次在合适的时候找到合适的品种并不断学习,这可能是我的长处,即使退休多年,也是不断通过学习新的知识来寻找"鱼多的池塘“,活到老,学到老。
投资不犯大错就已经很好了
2025-01-19 19:10 来自上海 引用
47

资水 - 弱弱少年郎,徘徊江边岸,水急人声远,一跃渡资江!

赞同来自: eileen3932 geneous 沐柰 laplace 孤独的长线客 neverfailor 天山飞机会 白金牛 Wakuang skyblue777 YmoKing 痴迷不悟 jackymin001 乐鱼之乐 yc138 小虾米007 darkpro 撒马利人 amanal 逍遥chen yjjkwxf 红星闪闪666 realbean saintenvoy bn2013 gaokui16816888 带你看海 Kluer 陆亿 凡先生 打新交朋友 Alexhuh happysam2018 sdu2011 luckzpz 司马缸不方 drzb e老实和尚 zyc田忌赛马 tigerpc pppppp 作手十一 daxian100 起个名 好奇心135更多 »

@持有封基
前两天我的一个网络好友评价我,说我不算一个特别有天赋的人,但善于不断学习。我想了一想这个评价确实是比较准确的。我做封基、做白马、做可转债,都只能在平均值左右的水平,但每次在合适的时候找到合适的品种并不断学习,这可能是我的长处,即使退休多年,也是不断通过学习新的知识来寻找"鱼多的池塘“,活到老,学到老。
自主学习能力是一项奢侈的能力,大概只有十分之一的人具备。能持续终生学习也是需要机会的,只有百分之一的人有这个运气。封基老师奔七的人还这样持续学习,属于既有能力也有运气的人。我的好些同学,中国top2大学的,50多岁已经不学习了。
2025-01-19 18:07 来自上海 引用
59

持有封基

赞同来自: 萝卜耳朵 安菲尔德大灰狼 shaoshui geneous shoooliu zzczzc666 zddd10 suijimanbu 盒饭的饭盒 iono fengcc Restone 彩虹鸽 白金牛 aijuanjuan skyblue777 YmoKing 虎虎生葳 乐鱼之乐 鲁西西西西 困了学索隆 yc138 e老实和尚 woshishui2016 Aolin120 jerry2015 luyi1 cquhrb 阿戒1899 sunpeak gaokui16816888 凡先生 Alexhuh walkerdu 选择大于努力V 大卫1988 saintenvoy weileanjs 他丫的 捡钢镚 zyc田忌赛马 几点到几点呢 shiran1 胡说之 猪头猪脑 齐圣爸爸 pppppp ianian 甘泉 我想吃蛇羹 hhl1987 起个名 夏花秋果 ficus fockds118 好奇心135 LeeKrol 打新交朋友 作手十一更多 »

前两天我的一个网络好友评价我,说我不算一个特别有天赋的人,但善于不断学习。我想了一想这个评价确实是比较准确的。我做封基、做白马、做可转债,都只能在平均值左右的水平,但每次在合适的时候找到合适的品种并不断学习,这可能是我的长处,即使退休多年,也是不断通过学习新的知识来寻找"鱼多的池塘“,活到老,学到老。
2025-01-19 16:49 来自上海 引用
4

易尔奇 - 安待久 渐息散

赞同来自: rnll 猪头猪脑 kolanta hanbing0356

@持有封基
春节长假效应还会应验吗?本来我已经不打算写这个内容了,有网友问起春节长假前后市场的涨跌。正好这次元旦前后都是下跌,而且跌了不少,破了过去年末年初的统计规律。正好来说说这个问题。因为只有上证指数积累了34年的数据,其他指数都没那么长的数据的积累,所以我们还是看上证指数34年来春节长假前5天、前1天,长假后1天、后5天的涨幅: 34年来最短的1992年休市才3天,而1999年休市了19天,暂时也看不...
不贪心是礼物,若期待是惩罚。
2025-01-19 12:20 来自泰国 引用
25

持有封基

赞同来自: xqiang kt3020790 skyblue777 lrc168 xiaofeng71 jackymin001 乐鱼之乐 Qxiaoz 流沙少帅 逍遥chen 阿邦查 几点到几点呢 何哲欢888 walkerdu hippohippo 歌者文明 gaokui16816888 ASC1975 打新交朋友 xgjxgq 湘漓浪云 鹏0818 smhxlj 好奇心135更多 »

春节长假效应还会应验吗?

本来我已经不打算写这个内容了,有网友问起春节长假前后市场的涨跌。正好这次元旦前后都是下跌,而且跌了不少,破了过去年末年初的统计规律。正好来说说这个问题。

因为只有上证指数积累了34年的数据,其他指数都没那么长的数据的积累,所以我们还是看上证指数34年来春节长假前5天、前1天,长假后1天、后5天的涨幅:



34年来最短的1992年休市才3天,而1999年休市了19天,暂时也看不出休市长短和涨跌的关系。不过不管是34年还是最近10年,春节长假前5天、前1天、后1天、后5天平均来说上涨的概率还是比较大的。

2020年春节前后跌的比较多,主要原因是疫情爆发导致的恐慌,如果扣除这个因素,最近10年的平均值基本和34年的平均值一致。

下面来说说这些日历效应最终的结果的影响。大部分人都是按照最近一次日历效应是否应验来评判所谓的准不准,去年年末最后一个交易日上证指数跌了1.63%,今年开年第一天又大跌了2.66%。似乎这个规律失效了。但从多年来历史数据的统计来看,日历效应还是有效的。怎么来解决这个矛盾呢?

一个策略如果你连续执行100次,成功70次失败30次,已经算是一个高胜率的策略了。关键是有人说我可能在有限的生命里执行不了100次。这里涉及到一个关键问题,就是策略的频率。在赔率相等的条件下,如果频次很高,那么别说70%的胜率,就是60%甚至55%都可以是一个好的策略,但可执行的频次很低,坚持下来的可能性就不大。

这里分享一个我过去失败的案例,大概是在2013年左右,打新是和现在的北交所打新一样,是用资金说话的。当时我发现了一个规律,就是打新资金释放的当天,市场100%上涨。当时我比较贪婪,前一天潜伏进去了很多分级B,相当于上了杠杆。第一次做了,赚到了当时从来没有赚到过的钱。但第二次失败了,不知道什么原因当天市场下跌了,几乎把我前一次赚的钱全部都回吐了。当时我受不了了,全部清仓了分级B。结果奇迹出现了,当我清仓完毕后,市场慢慢又开始上涨了。如果按照收盘计算,这个规律还是100%有效,只不过我受不了这个过程导致失败了。

而现在我在做的可转债的轮动策略,其实也有失败的。但相对来说频次比较高,即使几天失败,后面马上会迎来成功。而且即使失败,影响也不会特别大,所以容易坚持下去。

总结一下,不管是高频还是低频,高胜率还是低胜率,如果你按照策略执行,都要做好万一失败的准备,如果你接受不了失败的结果,那你就不要去执行这个策略。
2025-01-19 08:57 来自上海 引用
0

锐意进取1

赞同来自:

@持有封基
今年新的退市政策实施后哪些可转债的正股有可能退市?按照2025年开始正式实施的退市新规,500多只可转债中有哪些可能会有退市风险的?因为2024年的年报还没出来,以下数据用2023年第四季度到2024年第三季度这4个季度的数据替代,最新数据均截止到2025年1月17日收盘:1、 营收:主板连续两年低于3亿元实施退市风险警示,第三年仍未达标则直接退市,创业板、科创板标准1亿元。主板最近四个季度营...
这么看,退市风险也不低
2025-01-18 12:53 来自上海 引用
49

持有封基

赞同来自: srcsrc114 灵活的蓝胖子 海麻雀0202 plan30 乐鱼之乐 MrYang1688 流沙少帅 老胜 蝶恋火2 gaokui16816888 胡说之 ahelloa 巴蜀剑修 栖息树梢 lorzen 我心安然 robin8848 这回真懂了 烈火情天 ASC1975 明园 李某某小迷糊 wangxl200 收音机 木奉木奉米唐 等待等待牛市 wxyyu 蓝河谷 后进生 夏花秋果 Lawyer王 不虚不实 蓝笛传声 e老实和尚 塔塔桔 追梦者雷 blovefeather skyblue777 Tpeb kolanta 好奇心135 dingpenglei cdhr 鹏0818 捡钢镚 m飞m pppppp更多 »

今年新的退市政策实施后哪些可转债的正股有可能退市?

按照2025年开始正式实施的退市新规,500多只可转债中有哪些可能会有退市风险的?因为2024年的年报还没出来,以下数据用2023年第四季度到2024年第三季度这4个季度的数据替代,最新数据均截止到2025年1月17日收盘:

1、 营收:主板连续两年低于3亿元实施退市风险警示,第三年仍未达标则直接退市,创业板、科创板标准1亿元。主板最近四个季度营收比较接近的有:灵康制药(2.77亿)、华体科技(3.97亿)、绿茵生态(3.98亿)。双创比较接近的有:盟升电子(1.44亿)、申昊科技(1.55亿)
2、 净资产指标:最近一个会计年度期末净资产为负数,会实施退市风险警示。目前在可转债的正股里暂时没有。
3、 面值退市:连续20个交易日每日收盘价均低于股票面值(通常指1元),将直接退市。最低的凌钢股份也有1.68元。
4、 市值退市:主板连续20个交易日收盘总市值低于5亿,双创低于3亿,将被强制退市。在可转债的正股中,主板最低赛力医疗13.35亿、创业板最低飞鹿股份12.16亿、科创板最低京源环保12.69亿,暂时没有风险。
5、 股东数:连续20个交易日低于2000人,双创低于400人。目前在可转债正股中主板最低运机集团6660人,创业板最低家联科技4873人,科创板最低星球石墨3626人,暂时没有此类风险。
6、 成交量指标:连续120个交易日成交量低于500万股(双创低于200万股)。主板最低大元泵业13800万股,创业板最低嘉益股份9205万股、科创板最低富淼科技10780万股。暂时没有此类风险。

另外就是财务造假等重大违规类的,目前可转债正股里涉及到的就是普利制药,正股已经连续创出历史新低,普利转债最新收盘57.132元,也接近历史新高了。

除了财务造假等重大违规不确定性外,最有可能涉及到退市的就是营收了,不过最低的灵康制药TTM的营收虽然只有2.77亿,但在1月16日公司发布全年业绩预告中,预告营业收入为3.80亿元,超出3亿元比较多了,应该暂时没退市风险。

最不可控还是突然冒出来的财务造假等重大违规,因为其他退市条件基本上都是可以预估的。
2025-01-18 14:50修改 来自上海 引用
18

持有封基

赞同来自: 乐鱼之乐 夏花秋果 plan30 cn668158 湖塘 小小泽雨 系统君 瀛幻想 gaokui16816888 几点到几点呢 钟爱一玉 猪尾巴草77 流沙少帅 小小投资者 e老实和尚 塔塔桔 Alexhuh更多 »

今天缺钱吗?

今天是股指期货的交割日,一般来说这天震荡的概率大,今天算是很平稳的了。



主流宽基指数中领涨的科创50涨0.99%、创业板指涨0.78%;领跌的微盘股指数跌0.52%、北证50跌0.39%。涨跌都没超过1个点,小盘股略微弱点。

申万一级行业指数中领涨的电子涨1.77%、基础化工涨1.31%、国防军工涨1.10%;领跌的商贸零售跌1.78%、纺织服饰跌1.11%、传媒跌0.91%。

2565只个股上涨、2327只个股下跌,涨幅中位数0.02%。

九典制药、*ST普利、*ST大药盘中创出最近一年新低,其中*ST普利同时创出历史新低。

兆易创新、卫星化学、生益科技、瑞芯微、云铝股份、安克创新、藏格矿业、豪迈科技、巨星科技、乖宝宠物、艾力斯、春风动力、卧龙电驱、青岛银行、方正科技、圣泉集团、移远通信、纳芯微、富临精工、江海股份等70只个股盘中创出最近一年新高,其中豪迈科技、乖宝宠物、艾力斯、春风动力、万辰集团、五洲新春、联瑞新材、匠心家居、金奥博等9只个股同时创出历史新高。



504只可转债平均上涨0.40%,对应个股平均上涨0.34%;我的主仓20只可转债平均上涨0.59%,对应正股平均上涨0.34%。账户合计实际上涨0.66%。

今天的超额收益来自一次有效的换仓,卖出美锦转债到收盘微涨了0.03%,但买入春秋转债到收盘大涨了1.60%。

今天不管是全市场还是我的主仓,均出现了难得的可转债涨幅大于正股涨幅的情况,主要原因是对昨天可转债欠涨的一个补涨。

今天临近上午收盘的时候各大指数突然拉起,很多个股也跟着一起拉起。那么陡峭的一致上涨,感觉人工操作的可能性不大,要么是追涨的策略单起作用了,要么是追涨的量化系统起作用力。

但前几次也发生过类似情况,临近中午突然大涨,结果下午一路下跌。所以今天我估计大家都学乖了,下午一开盘就砸。虽然跌了一点,但后来还是被拉起来了。市场的剧本演出每次都不可能一样,也不可能让你猜到。所以我还是放弃追涨放弃逃顶放弃抄底,只按照自己的策略按部就班轮动,今天也创出了今年的新高,离开历史新高还有1个多点。

今天是股指期货交割日,又是北交所宏海科技的打新日,一天国债逆回购最高冲高到7.77%。又是临近春节长假,资金面相当紧张。能走成这样算是非常好了。不说市场底部,至少接近。

今天下午我走过南京西路上的星巴克旗舰店,这家星巴克曾经是全球营业面积最大,现在至少是亚洲最大的旗舰店。看见一群男女青年在门口打卡拍照。现在这种地方很少有中国人来拍照了,我正在诧异,他们大声的说出了韩语,原来是韩国青年来了。我在想全世界的人其实都差不多,出了国都会到打卡地去留影,联想到前一段时间上海的阔少们组团开着豪车去武康路等韩国人来的多的地方,感觉地球村离开我们越来越近了。
2025-01-17 16:42 来自上海 引用
3

circle128

赞同来自: zuiyijiangnan lrc168 绿海红鹰

@绿海红鹰
说难听点,很多老股民,起码有6成,都是不知道自己买的股票的情况,也没什么研究,更不用说去研究套利之类的,套利这个词压根没听过的都有,学习这些?不可能,没法子沉下心来
套利的前提是持有正股,而持有正股的前提是看好正股,常见转债有套利空间的往往集中在银行股。你知道的,一般散户都不会买银行股的,觉得涨的慢,所以没有套利的基础。
怀念2019年年中套利中国银行转债的日子,经常可以一天套利上千大洋。
2025-01-17 10:04 来自上海 引用
2

绿海红鹰

赞同来自: 丽丽的最爱 作手十一

@持有封基
缺口必补吗?
这几天市场算是很强了,今天大部分指数和个股又是上涨的。


主流宽基指数中领涨的北证50涨2.04%、微盘股指数涨0.95%;领跌的科创50跌2.18%、上证50跌0.44%。科创50中的寒武纪大跌14.65%,其他前十名重仓的股票也是涨少跌多。不管你炒作什么概念,最终丑媳妇总要见公婆的。
申万一级行业指数中领涨的通信涨2.47%、综合涨1.95%、有色金属涨1.78%;领跌的食品饮...
说难听点,很多老股民,起码有6成,都是不知道自己买的股票的情况,也没什么研究,更不用说去研究套利之类的,套利这个词压根没听过的都有,学习这些?不可能,没法子沉下心来
2025-01-17 08:47 来自广东 引用
0

难有梦

赞同来自:

可转债好像在22年前?要权限才能开通了
2025-01-16 20:49 来自广西 引用
26

持有封基

赞同来自: 吃糖看月亮 孤独的长线客 世界交通图 绿海红鹰 明园 李某某小迷糊 乐鱼之乐 家和妈妈 不虚不实 黄山松2007 皓月长歌2009 追梦者雷 lzhfaon 好奇心135 几点到几点呢 塔塔桔 walkerdu 用力折腾 hydk 凡先生 e老实和尚 Restone 流沙少帅 作手十一 gaokui16816888 muziyo更多 »

缺口必补吗?

这几天市场算是很强了,今天大部分指数和个股又是上涨的。



主流宽基指数中领涨的北证50涨2.04%、微盘股指数涨0.95%;领跌的科创50跌2.18%、上证50跌0.44%。科创50中的寒武纪大跌14.65%,其他前十名重仓的股票也是涨少跌多。不管你炒作什么概念,最终丑媳妇总要见公婆的。

申万一级行业指数中领涨的通信涨2.47%、综合涨1.95%、有色金属涨1.78%;领跌的食品饮料跌0.85%、电子跌0.81%、交通运输跌0.21%。

3151只个股上涨、1773只个股下跌,涨幅中位数0.35%。

九典制药、*ST普利、*ST博信等3只个股盘中创出最近一年新低,其中*ST普利、*ST博信盘中同时创出历史新低。

江苏银行、卫星化学、云铝股份、豪迈科技、乖宝宠物、春风动力、马钢股份、卧龙电驱、、青岛银行、方正科技、北部湾港、峰岹科技、万辰集团、仙鹤股份、五洲新春、应流股份、长盛轴承、匠心家居、华懋科技等55只个股盘中创出一年来的新高,其中江苏银行、乖宝宠物、太辰光、万辰集团、五洲新春、长盛轴承、金奥博等7只个股盘中创出历史新高。



504只可转债平均下跌0.17%,对应正股平均上涨0.60%。我的主仓20只可转债平均下跌0.23%,对应正股平均上涨0.58%。账户合计实际也是下跌0.23%。

今天我也没有任何操作。不管是我的持仓还是全市场,可转债和正股的表现都出现了相悖的情况。早上正股大涨的时候可转债涨幅远远没跟上,下跌的时候倒是跟上了。结果就导致了可转债和正股表现相悖了。

我自己的持仓还有特殊情况,帝欧转债跌幅最大,为2.39%,但正股上涨了1.35%。我估计是昨天帝欧转债公告不下修导致的,前期可能大家对它下修的期望值比较大,因为去年11月1日已经下修过一次。

本周一大盘探底开始反弹,但总觉得力度不够,今天上午反弹的很高了,结果高开低走出了一根假阴线,虽然上涨但收盘比开盘还要低。有人说是因为周一上证指数下探时只补上了去年10月30日跳空缺口的一部分,没有全部补上,所以导致现在这个结果。

很多人相信所谓缺口必补的理论,A股确实有很多跳空高开的缺口,在以后用下跌的方式补上了,但也有前期留下的很多缺口没有补。我觉得为什么A股缺口大部分都补上了,那是因为A股的波动性远远超过美股等成熟市场,所以A股的大部分缺口都被补上了,再加上长期以往,相信的人多了,加剧了这种现象。

今天网络上很多人都在比自己跑赢了多少网友,发现今年短短10个交易日,大部分投资者还是亏损。长期来看,七输二平一赢说明了大部分投资者长期是亏损的,但每一年呢?我记得2007年历史上最大的牛市做过统计,大部分投资者还是亏损,主要是在227、520等多次大牛市暴跌中割肉,底部割肉顶部加仓,导致了大牛市依然大部分人亏损。

目前来看,要使得大部分人盈利,除非A股走出慢牛,极端的说,如果每天都是上涨0.01%,那不管你什么时候上车什么时候下车,都不会亏损,但可惜的是A股永远不会出现这样的慢牛。

但反过来说,A股的机会也是最多的,只不过大部分人都没抓住。举个最简单的例子,可转债经常出现转股溢价率负的,而且有时候负的很厉害。如果你没有正股去裸套利,当然风险大。但那么多正股持有人为什么就不去做这个无风险套利呢?一共就三步:第一步卖出正股,第二步买入可转债,第三步把可转债转成正股,虽然不会改变正股的价格,但通过这三步你增加了正股的数量,达到了无风险套利。

为什么那么多正股持有人,真正去做无风险套利的很少呢?虽然我不知道这个数量,但如果数量很多的话,就不可能出现可转债转股溢价率折价的现象。

其实不做无风险套利的还不是真正的韭菜,可能懒,可能不愿意学。还有在当时直接买进正股的投资者,那更是韭菜,如果你真的看好正股要买,也应该买入折价的可转债,然后转股。同样的金额可以获得更多数量的正股。想不通他们为什么直接去买进正股呢?难道是没有可转债的权限?估计大部分还真的是不懂。

有些人不愿意被套后不积极想办法还自喻为学习巴菲特,不知道当年巴菲特玩套利超过我们绝大部分人,只不过巴菲特现在的体量实在太巨大了,普通的套利根本玩不转。我们绝大部分散户根本还没到这样的体量呢。

所以没办法,即使很简单的知识,也不是每个人都愿意去学习的,更多的人只要一个六位数的代码,最好买进后什么都不要做就天天数钱,被套后很多人还自喻为价值投资者,明明可以通过三步降低成本的,就是不愿意学习,这样的人大概率是很难赚钱的。
2025-01-16 20:20 来自上海 引用
22

持有封基

赞同来自: 孤独的长线客 Restone 乐鱼之乐 阿牛0731 包包肚 几点到几点呢 大7终成 夏花秋果 塔塔桔 walkerdu 湘漓浪云 pangjl hydk gaokui16816888 打新交朋友 好奇心135 流沙少帅 ficus lus888 e老实和尚更多 »

有永远有效的策略吗?

今天虽然主流宽基指数全绿,但大部分下跌都不到1个点。昨天大涨后今天调整成这样算很好了。



主流宽基指数中唯一上涨的微盘股指数微涨0.03%,领跌的创业板指跌1.82%、中证500跌0.89%。

申万一级行业指数中领涨的传媒涨1.29%、银行涨0.81%、社会服务涨0.51%:领跌的综合跌3.11%、国防军工跌1.80%、有色金属跌1.30%。

1551只个股上涨、3413只个股下跌,涨幅中位数-0.65%。

中文传媒、九典制药、*ST普利、*ST大药、*ST博信等5只个股盘中创出最近一年新低,其中3只*ST个股同时创出历史新低。

三花智控、兆易创新、卫星化学、瑞芯微、安克创新、建设工业、双环传动、春风动力、兆威机电、移远通信、峰岹科技、润欣科技、北特科技、万辰集团、内蒙一机、华达科技、双林股份、五洲新春、应流股份、匠心家居等58只个股盘中创出最近一年新高,其中建设工业、兆威机电、峰岹科技、北特科技、万辰集团、五洲新春、匠心家居、长盛轴承、中坚科技、鸿日达、美邦股份等12只个股盘中创出历史新高。





504只可转债平均上涨0.09%,对应正股平均下跌0.48%。我的主仓20只可转债平均下跌0.09%,对应正股平均下跌0.34%,账户合计实际下跌0.11%。相比较正股,可转债还是非常抗跌的。

有网友问,股市有没有一直有效的策略?我觉得看你如何定义这个策略了。比如说价值投资里说的股票的价值在于未来现金流的折现之和,不管到了什么时候都是有效的。关键是未来的现金流我们怎么估算?未来的折现率也会变化的。通常我们用过去的现金流加上一定的推测来估算未来的现金流,是有很大误差的。所以巴菲特也说,他从来没有用计算器计算过未来的现金流。可能这里模糊的正确好于精确的错误。

量化策略里的很多策略都是要去获得超额收益,对手变了,策略也随之变化,否则就不会有超额收益了。我同时等权持有500多只可转债,得到的结果肯定接近可转债的等权指数,你要获得超额,要超过可转债的等权指数,就要从对手盘里获得超额收益。这种策略公开后很容易失效的。

塔勒布的著作《反脆弱:从不确定性中获益》讲了一个感恩节前的火鸡的故事,每天中午主人都来给火鸡喂食,火鸡总结出了这个规律:主人中午一来就有吃的,到了感恩节这天,悲剧发生了。塔勒布说这个故事是用来说明策略里的黑天鹅的,但在这里我反其道用之:除非聪明的火鸡能逃脱主人,如果无法逃脱,那么找到这个规律,在它有限的生命里去享受生活,也不失为火鸡的一生。

借用这个故事到股市的策略中来,即使没有永恒的策略,在人类有限的生命里,用好每个有限有效的策略,不断寻找当下的最佳策略,难道不是一件好事情吗?
2025-01-15 18:04 来自上海 引用
0

wbb渐入佳境 - 2030十年十倍

赞同来自:

@持有封基
今天大涨的原因是什么?昨天在924行情后第一次沪深两市成交额跌破万亿,大部分人都看空,昨天个股涨多跌少被普遍认为是下跌的中继。在毫无征兆的情况下,行情突然爆发了。 主流宽基指数悉数上涨,涨幅居前的北证50大涨10.77%、中证2000大涨5.37%;涨幅居后的上证50涨1.78%、上证指数涨2.54%。申万一级行业指数也全部上涨,涨幅居前的计算机涨6.14%、传媒涨5.72%、机械设备涨5.68...
老师以前说过:跌多了就涨,涨多了就跌。没啥原因。
2025-01-14 18:14 来自北京 引用
27

持有封基

赞同来自: 系统君 孤独的长线客 Restone 大7终成 axintb0825 阴影下的猫 新的绿茶 乐鱼之乐 几点到几点呢 好奇心135 细水长流422 不虚不实 gaokui16816888 夏花秋果 我心安然 elsewhere006 柿柿如意牛旋风 孔曼子 打新交朋友 李某某小迷糊 wbb渐入佳境 滚雪球2020 Kluer 何必当初 逍遥chen e老实和尚更多 »

今天大涨的原因是什么?

昨天在924行情后第一次沪深两市成交额跌破万亿,大部分人都看空,昨天个股涨多跌少被普遍认为是下跌的中继。在毫无征兆的情况下,行情突然爆发了。



主流宽基指数悉数上涨,涨幅居前的北证50大涨10.77%、中证2000大涨5.37%;涨幅居后的上证50涨1.78%、上证指数涨2.54%。

申万一级行业指数也全部上涨,涨幅居前的计算机涨6.14%、传媒涨5.72%、机械设备涨5.68%;涨幅居后的银行涨1.41%、煤炭涨1.64%、石油石化涨1.72%。

5069只个股上涨,38只个股下跌,涨幅中位数4.32%。38只个股中大部分都是类似*ST普利这样的ST股,但也有前期不断创出历史新高的寒武纪、江苏银行等。

*ST大药、*ST博信盘中创出最近一年新低,同时创出历史新低。

中兴通讯、蓝思科技、三花智控、拓普集团、兆易创新、卫星化学、安克创新、豪迈科技、乖宝宠物、双环传动、春风动力、马钢股份、中国重汽、兆威机电、方正科技、江海股份、北部湾港、润欣科技、北特科技、内蒙一机等72只个股盘中创出最近一年新高,其中乖宝宠物、安培龙、鸿日达等3只个股盘中创出历史新高。



505只可转债平均上涨1.47%,对应正股平均上涨4.24%;我的主仓20只可转债平均上涨1.82%,对应正股平均上涨4.22%。账户合计实际上涨1.83%。

今天外出,没任何操作。今天可转债虽然涨了不少,但和正股涨幅相比严重落后。这也是前几天可转债抗跌付出的代价。但我觉得付出这样的代价整体还是非常值得的。

今天一涨,今年北证50、微盘股指数和可转债等权指数都已经浮出水面了,今年分别上涨了6.76%、0.59%和0.75%。跌幅最大的倒反而是上证指数,今年下跌了3.31%。

今天的大涨,使得我们想起了3个多月前的924行情。昨天沪深两市成交额刚刚破万亿,今天就恢复到1.35万亿,比昨天增加了3843亿。但今天的大涨确实没有什么征兆。当然,时候专家大V们会列出甲乙丙丁、ABCD等各种原因,在我看来,大部分都是开了一枪后往枪眼上去画个靶子。

如果一定要找原因,还不如说是昨天我说了一句要准备好下跌,招来了雪球上多人失态的谩骂。我想现实生活中不可能因为自己亏损去谩骂毫不相干的人,网络把人性里的恶发挥到了淋漓尽致。这也说明了这些人的亏损已经到了极限,才会说出完全失态的话。这大概也是一个底部反转的信号吧,这样一想,我就释然了,哈哈。

人类是宇宙的万物之灵,遇到问题总要寻找原因,这是人类的天性,也是推动人类进步的原动力。但我在想,以现在人类的智商,不得不承认世界上还有很多未解之谜,可能是穷人类一生而得不到答案的。小时候顽皮,看到地上蚂蚁爬,对着蚂蚁撒尿,我想以蚂蚁的智商,怎么都想不出它们的灭顶之灾,竟然是来自一个小男孩的顽皮。股市的涨跌,有些是有明确原因的,有些可能真找不到原因,或者就是跌多了市场的合力导致的反弹。承认找不到原因没什么,总比打了一枪后去枪眼上画个靶子强。
2025-01-14 17:19 来自上海 引用
15

持有封基

赞同来自: 孤独的长线客 不虚不实 大胖江 乐鱼之乐 几点到几点呢 流沙少帅 gaokui16816888 langmoqi kolanta 湘漓浪云 牵手 好奇心135 包包肚 阿戒1899更多 »

今天市场很顽强

指数虽然涨跌各半,但个股是涨多跌少。但沪深两市的成交额从924行情以来第一次跌破1万亿,为9654亿,比上个交易日又减少了626亿。



主流宽基指数中领涨的微盘股指数涨0.93%、中证1000涨0.27%;领跌的北证50跌2.35%、上证50和沪深300均下跌0.27%。

申万一级行业指数中领涨的有色金属涨1.81%、美容护理涨1.19%、房地产涨1.12%;领跌的家用电器跌2.45%、银行跌1.16%、纺织服饰跌0.72%。

2968只个股上涨、1957只个股下跌,涨幅中位数0.33%。

中文传媒、坤彩科技、固德威、晨鸣纸业、长鸿高科、华恒生物、百通能源、恒林股份、圣龙股份、威龙股份、ST天喻、ST升达、*ST大药、*ST博信等14只个股盘中创出最近一年新低,其中百通能源、*ST博信盘中创出历史新低。

春风动力、奥比中光、江海股份、北部湾港、震裕科技、浙江荣泰、中石科技、安培龙、万泽股份、超讯通信、鸿日达、来伊份、濮耐股份、福达股份、福莱新材、金奥博、腾龙股份、康盛股份、美邦股份、苏豪弘业等20只个股盘中创出最近一年新高,其中安培龙、福莱新材盘中创出历史新高。



505只可转债平均下跌0.05%,对应正股平均上涨0.33%。我的主仓20只可转债平均下跌0.08%,对应正股平均上涨0.25%。账户合计实际下跌0.11%。

主仓盘中卖出朗科转债和润禾转债,买入斯莱转债混合泰福转债,买卖后到收盘均上涨了一点,最终没什么超额收益。

今天沪深两市成交额从这波行情开始首次跌破万亿,但个股和小盘指数倒还不错,银行、红利领跌,上周五美股大跌,人民币持续贬值,近期利空多于利好,今天能走成这样我自己觉得已经非常不错了。

一大早我在雪球上发了一条“准备好今天的下跌”,就招来了雪球上的黑子恶毒的谩骂。这些人无疑是这波行情的亏损者,毫无底线的发泄只能使得自己的心态变坏,操作出错,亏损的更多。我也只是拉黑了这几个喷子了事。

每次行情到了底部,每次雪球上少不了这样的喷子。我把它们当作是一个底部的观察指标了。但这次我怀疑不会那么快到底部的。上证指数如果要封闭上去年930的跳空缺口,还要跌2.32%,也有可能不会一天跌完,当然也有可能不封闭。这种缺口理论更多的是一种心理因素。

还有一个可能就是行情在1月20日特朗普上台前见底,提前开始反弹。如果是这样,那么本周的4个交易日很关键。
2025-01-13 17:01 来自上海 引用
18

持有封基

赞同来自: kolanta 我心安然 轻风佛面 孤独的长线客 攀爬者2021 forrestsu 阿坤迪亚 一江一海一路 pd34 塔塔桔 阴影下的猫 流沙少帅 狂奔得蜗牛 zyc田忌赛马 pppppp 好奇心135 更名了jxjx更多 »

就差六天,天壤之别

从去年9月23日市场情绪跌到谷底,到去年10月8日长假后第一天开盘,期间只有短短的6个交易日,但市场发生了翻天覆地的变化。我们分别统计了从923和108到今年1月10日期间股票和混合型基金的胜率和平均涨幅、中位数如下:



在沪深两市的A股中,923后到目前胜率高达93.41%,平均上涨了25.82%,中位数也高达17.89%。而如果你是108入市的,那么到现在为止胜率骤降到21.77%,平均亏损7.61%,中位数亏损12.18%。

如果我们看主动型的混合基金也是类似,923后的胜率高达95.69%,平均收益率12.56%,中位数10.17%。但如果你是108入市混合基金的,那么胜率一下子跌到12.01%,平均亏损8.09%,中位数亏损8.95%。主动型的混合基金,依然看不出任何优势。

这些数据告诉我们在A股择时确实很重要,但更加悲惨的事实是,大部分小散是做不好择时的。沪深两市在9月23日底部的成交额仅仅只有0.55万亿,而在10月8日顶部的成交额高达3.45万亿,相差了整整6倍都不止,多少小散923的时候清仓甚至空仓,到了108后满仓冲进去。我的数据还是计算了去年10月8日的收盘,如果算开盘,那套的更加深了。

有能力的当然最好是923满仓进去,108开盘就出来。但遗憾的是这样的小散百里挑一都没有。相反的倒是不少。

我也没能力择时,更不要说923满仓,108空仓了。退而求其次,选择鱼多的池塘,用量化策略满仓轮动,就是我的选择。除了可转债和红利以外,标普500基金、纳指100基金、黄金、债券ETF等品种,我觉得都比无脑持有很多宽基指数的好。让我们看看集思录7年多的统计:



一般来说,过去成绩好的学生,将来考分一般不会低,相反的学生一般也不会高。当然波动和周期是有的。我们假定一个好学生过去的考试成绩在70-95分,一个差学生考生成绩在40-75分,最近一次考试好学生95分,差学生40分,你会相信因为好学生分数到了顶部差学生到了底部而去选择差生吗?
2025-01-12 09:33 来自上海 引用
1

bulles

赞同来自: pingbaoshi

@持有封基
当可转债遇到中证红利我一直认为,投资就是要找鱼多的池塘(贝塔收益),再加上良好的捕鱼之术(阿尔法收益),才能获得丰收。A股虽然整体鱼池里的雨不多,但个别的几个品种还是不错的,比如可转债、红利等少数几个鱼相对多的品种。为什么要研究这两个品种呢?当然一是这两个品种在A股历史上长期表现不错,二是这两个品种分别代表的是小盘和大盘品种,具有一定的跷跷板关系。我们先来看看中证红利全收益和集思录等权指数和它们...
可能反映大小盘的不同趋势,红利多是大盘股,转债等权跟随小盘股。
2025-01-11 17:30 来自山东 引用
24

持有封基

赞同来自: 孤独的长线客 秃顶熊 gaokui16816888 温其如玉 朱顶红 darkangel 夏花秋果 沉默的铁道兵 乐鱼之乐 丢失的十年 安静的小白 流沙少帅 灵活的蓝胖子 作手十一 hydk liushao04 蜗牛田 叫花子 几点到几点呢 skyblue777 一生水 Wintersun 鹏0818更多 »

当可转债遇到中证红利

我一直认为,投资就是要找鱼多的池塘(贝塔收益),再加上良好的捕鱼之术(阿尔法收益),才能获得丰收。A股虽然整体鱼池里的雨不多,但个别的几个品种还是不错的,比如可转债、红利等少数几个鱼相对多的品种。

为什么要研究这两个品种呢?当然一是这两个品种在A股历史上长期表现不错,二是这两个品种分别代表的是小盘和大盘品种,具有一定的跷跷板关系。我们先来看看中证红利全收益和集思录等权指数和它们年度再平衡从2018年以来的表现:



7年多来虽然可转债等权的年化收益率只有10.66%,中证红利全收益更低一点,只有6.31%,但比起A股绝大部分指数要好很多,甚至比起专业投资的基金,也毫不逊色。

既然两个指数有一定的跷跷板效应,但等权的每年做一次再平衡的结果,和不做再平衡等权持有也基本上差不多。再仔细看这两者的表现,2018年到2021年连续4年度是可转债胜出,而2022年到2024年这3年都是中证红利胜出,也就是说这两者的跷跷板效应,并不是以年度为单位,而是以3-4年一个大周期为单位的。

再思考一个问题,如果以月度为单位,采用反转策略,即当月哪个指数表现弱,下个月就持有哪个指数。经过回测,在7年的84个月里面,有效的是47个月,胜率为55.95%。具体年度收益率对比如下:



从上面的数据我们可以看到,2018年、2022年、2023年、2024年这4年里月反转策略非常有效,超过了两个指数里最好的收益率。我们注意到这些年份本身就是比较弱的年份,这些弱年反而容易反弹。月反转策略只是每年比可转债等权只是多了大概1%不到一点。但这个策略的好处是7年来几乎每年都没亏损,只是2018年微跌了0.03%,比起原始指数中证红利全收益指数在2018年下跌16.51%,可转债等权指数下跌3.07%要好很多。

2025年哪个走强呢?按照前面3年到4年一个周期的规律,红利指数已经强了3年了,相对来说可转债走强的概率在增加。

以上只是我思考的一点片段,并没有什么明确的结论。目前我还是满仓轮动可转债,以上只是我的一点分享,供大家参考。
2025-01-11 16:44 来自上海 引用
3

晴天1950

赞同来自: 阿邦查 阴影下的猫 pppppp

可转债欠一个补跌
2025-01-11 09:10 来自北京 引用
0

gobidaozhao -

赞同来自:

这段时间转债走势太强了!
正股-6.6%、-7%,转债-0.66%
2025-01-10 18:33 来自浙江 引用
13

持有封基

赞同来自: 秃顶熊 乐鱼之乐 灵活的蓝胖子 iono 蓝河谷 gaokui16816888 happysam2018 dingpenglei 几点到几点呢 流沙少帅 不虚不实 我是一个新用户 e老实和尚更多 »

固收新品种来了

今天又是一片环保色,主流宽基指数没一个例外。



主流宽基指数中跌幅最小的上证50跌0.75%、科创50跌1.13%;跌幅最大的微盘股指数跌3.15%,中证2000跌3.07%。今年过去7个交易日,主流宽基指数全部下跌,跌幅最新的北证50跌1.31%、科创50跌3.88%,跌幅最大的创业板指跌7.76%、中证1000跌6.93%。即使上证指数今年也跌了5.47%,跌破3200点,并创出从去年930开始的最低点。

申万一级行业指数今天也全部下跌,跌幅最小的有色金属跌0.40%、银行跌0.70%、机械设备跌1.04%;跌幅最大的商贸零售跌4.22%、通信跌3.50%、社会服务跌3.24%。

515只个股上涨、4556只个股下跌,涨幅中位数-2.78%。

万华化学、华能国际、宝信软件、天坛生物、中文传媒、昊海生科、坤彩科技、禾迈股份、固德威、亚辉龙、晨鸣纸业、福瑞股份、百奥泰、迈威生物、百通能源、兴瑞科技、首药控恒林股份、科拓生物、金凯生科等27只个股盘中创出最近一年来新低,其中金凯生科、*ST普利、*ST博信、*ST美讯等4只个股盘中创出历史新低。

寒武纪、东鹏饮料、建设工业、春风动力、兆威机电、方正科技、北部湾港、峰岹科技 、双林股份、禾望电气、中坚科技、震裕科技、西部材料、肇民科技、中石科技、万泽股份、广百股份、拓中股份、信测标准、福莱新材等24只个股盘中创出1年新高,其中寒武纪、东鹏饮料、兆威机电、峰岹科技、中坚科技、肇民科技等6只个股盘中创出历史新高。



507只可转债平均下跌0.50%,对应正股平均下跌2.52%;我的主仓20只可转债平均也是下跌0.50%,对应正股平均下跌2.67%。账户合计实际下跌0.53%。

今天跌幅超额主要是来自一次不成功的换仓,卖出鹿山转债买入九洲转2,成交后到收盘九洲转2的跌幅为1.48%,而鹿山转债的跌幅只有0.50%。昨天刚在平均价134.708元清仓了九洲转2,今天131.335买入虽然偏高,但相比较而言还是赚了。九洲转2是我在历史上反复高抛低吸的一只可转债。

今年虽然只有7个交易日,但宽基指数普遍下跌5%到6%,而可转债等权指数只有下跌了0.66%,显示了可转债这个品种强大的抗跌性。

可转债的抗跌性来自其保底的债券,而随着资金宽松,10年国债最低跌破1.6%。现在个人投资者投资债券,目前只有国债ETF、地债ETF、证金债ETF等少数几个品种,未来的收益率也不会太高。而公司债也早就对个人投资者关门了。

不过最近有个好消息,1月7日,首批8只基准做市信用债ETF正式发行。其中易方达、华夏、南方、海富通基金等4家公募机构的产品跟踪上证基准做市公司债指数(950245),广发、博时、天弘、大成基金等4家公募机构的产品跟踪深证基准做市信用债指数(921128)。

我查了一下这两个指数,成份股都是宝武、中化、光大、深能等大型企业信用等级为AAA的债券,票面利息为2.45%-3.70%不等,高于国债。这些债券我们个人也无法买,而且基本上都是在银行交易而不是在交易所交易,现在通过基金公司发行信用债ETF来做市,增加了流动性,也提供了一种新的投资工具,对我们个人投资者来说绝对是一件好事情。也弥补了从2015年以后个人投资者不能直接投资信用债的遗憾
2025-01-10 17:05 来自上海 引用
5

抄顶逃底

赞同来自: 萝卜耳朵 瀛幻想 cn668158 不虚不实 srboyzj更多 »

身体好才是真的好,心情好更重要。投资最最重要的是命长,投资的时间长。

老一辈无产阶级革命家谁最厉害?我想了想,还是叶剑英吧,邓小平也可以。就是他们笑到了最后。
2025-01-10 13:44 来自广东 引用
0

UniqueLy

赞同来自:

@持有封基
QDII基金真的没额度申购吗?今天大部分宽基指数都是小涨小跌,涨跌基本没超过1%。 阅读全文
这个标普消费 etf 宣布停牌了
2025-01-09 21:13 来自北京 引用
19

持有封基

赞同来自: LukeTao 大宝天天yong 孤独的长线客 shakdockcn 小飞龙 eckeels realbean 阿溪 gaokui16816888 几点到几点呢 hydk 塔塔桔 乐鱼之乐 ficus 好奇心135 流沙少帅 pppppp cn668158 e老实和尚更多 »

QDII基金真的没额度申购吗?

今天大部分宽基指数都是小涨小跌,涨跌基本没超过1%。

主流宽基指数中领涨的北证50涨1.55%、微盘股指数涨0.57%;领跌的上证50跌0.69%、上证指数跌0.58%。北证50今年第一个浮出水面。

申万一级行业指数中领涨的国防军工涨1.63%、家用电器涨1.11%、计算机涨0.85%;领跌的石油石化跌1.67%、煤炭跌1.54%、纺织服饰跌1.30%。今天红利跌的多。

2499只个股上涨、2425只个股下跌,涨幅中位数正好为零。

固德威、百澳泰、百通能源、恒林股份、*ST普利、*ST博信、*ST美讯等7只个股盘中创最近一年新低,其中*ST博信、*ST美讯创历史新低。

东鹏饮料、兆易创新、成都银行、生益科技、安克创新、瑞芯微、胜宏科技、麦格米特、春风动力、中国重汽、江海股份、TCL智家、禾望电气、匠心家居、应流股份、英唐智控、中坚科技、鼎泰高科、共进股份、豪能股份等43只个股盘中创出最近1年来新高,其中东鹏饮料、胜宏科技、麦格米特、匠心家居、金沃股份等5只个股盘中创出历史新高。



506只可转债平均上涨0.48%,对应正股平均上涨0.33%。我的主仓20只可转债平均上涨0.55%,对应正股平均上涨0.85%。账户合计实际上涨0.74%。

今天超额来自早上有效的轮动,卖出斯莱转债和九洲转2后分别下跌了1.66%和1.37%,买入豪美转债和美锦转债后分别上涨了0.97%和0.16%。平均超额收益高达2.11%。

今年宽基指数普遍下跌4%左右,而我的账户已经正收益了,虽然说良好的开始是成功的一半,但才6个交易日也不能说明什么。18年来每年总会有很难过的日子,即使是历史上最大的牛市年2007年,也经历过530半夜鸡叫,做好不爽的准备,真的不爽来了才能安全度过。

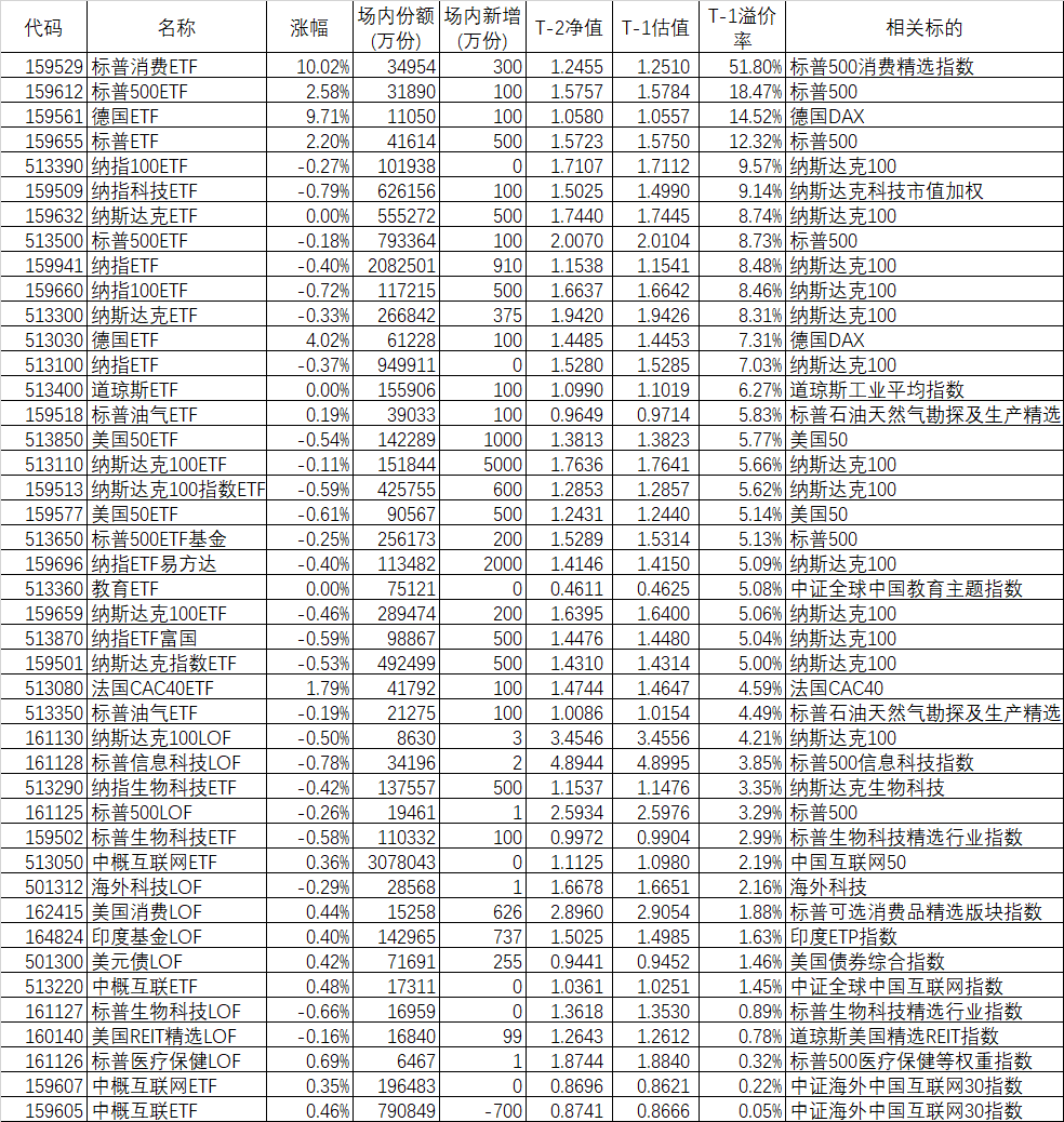
昨天去参加一个头部基金公司的会议,问起QDII基金的额度的事情,现在各大基金公司的外汇额度都是有限,小散基本申购不到,极少数可以申购的也是限额非常少。但实际上小散申购不到,不等于有办法的机构申购不到。以今天场内涨停的标普消费ETF(159529)为例,昨天场内还新增了300万份。按照集思录的股算,该基金T-1的溢价率高达51.80%,申购到的机构赚的盆满钵满,不明真相的群众将来被割了韭菜还不知道。



这里解释一下,今天是1月9日,公布的净值是T-2日的净值,也就是说是1月7日的净值,昨天的净值因为美国股市要到今天凌晨才收盘,所以净值的计算要延迟到明天,但今天可以根据它跟踪的相关指数做一个估算。即使看T-1日的溢价率,最高的标普消费ETF(159529)高达51.80%。打板的资金,很有可能就是这300万申购的资金,因为他们成本低,还可以一箭双雕,一方面吃到了溢价讨论,另一方面又吸引小散跟板再割一次韭菜。QDII基金申购只开放给一些特定的机构这个制度真的不合理。可能这些小散吃了A股的亏,宁愿去买高溢价的QDII基金,宁愿被割韭菜也不会到大A,真的是悲哀。
2025-01-09 18:44 来自上海 引用
0

布局将来

赞同来自:

@持有封基
我用的策略经过了多次修正,所以肯定比实盘要高很多。从2021年满仓轮动可转债以来,平均每年比可转债等权指数跑赢10个点左右,说明策略基本上还是有效的。
感谢答疑,预祝新春愉快,身体健康。
2025-01-09 08:20 来自上海 引用
8

持有封基

赞同来自: 一江一海一路 欢乐马小跳 流沙少帅 happysam2018 cdhr 追梦者雷 gaokui16816888 drzb更多 »

@布局将来
请教金老师,你今天帖子里提到多因子轮动。请教你多因子回测年化能跑到多少?实盘跟回测差异多少?谢谢了
我用的策略经过了多次修正,所以肯定比实盘要高很多。从2021年满仓轮动可转债以来,平均每年比可转债等权指数跑赢10个点左右,说明策略基本上还是有效的。
2025-01-09 06:04 来自上海 引用
0

布局将来

赞同来自:

@持有封基
失而复得
今天市场走了一个深V,跌的最多的指数都跌了超过3%,下午神奇的基本上都收复了,而且成交额也比昨天略有放大。


主流宽基指数中领涨的北证50涨1.27%、中证2000涨0.32%;领跌的创业板指跌0.98%、中证1000跌0.53%。
申万一级行业指数中领涨的家用电器涨2.23%、综合涨1.94%、机械设备涨0.76%;领跌的有色金属跌1.33%、钢铁跌1.20%、基础化工跌1.14%。...
请教金老师,你今天帖子里提到多因子轮动。请教你多因子回测年化能跑到多少?实盘跟回测差异多少?谢谢了
2025-01-08 20:41 来自上海 引用
0

追梦者雷

赞同来自:

谢谢封基老师解惑
2025-01-08 17:10 来自广东 引用
16

持有封基

赞同来自: 孤独的长线客 estimater tinayf kolanta gaokui16816888 几点到几点呢 我心安然 流沙少帅 happysam2018 选择大于努力V 好奇心135 Restone dingpenglei geneous 乐鱼之乐 追梦者雷更多 »

失而复得

今天市场走了一个深V,跌的最多的指数都跌了超过3%,下午神奇的基本上都收复了,而且成交额也比昨天略有放大。



主流宽基指数中领涨的北证50涨1.27%、中证2000涨0.32%;领跌的创业板指跌0.98%、中证1000跌0.53%。

申万一级行业指数中领涨的家用电器涨2.23%、综合涨1.94%、机械设备涨0.76%;领跌的有色金属跌1.33%、钢铁跌1.20%、基础化工跌1.14%。

1804只个股上涨、3162只个股下跌,涨幅中位数-0.52%。

天坛生物、晨鸣纸业、百奥泰、迈威生物、*ST京蓝、科拓生物、*ST普利、*ST博信、*ST美讯等9只个股盘中创出1年来新低,其中*ST博信、*ST美讯盘中创出历史新低。

寒武纪、东鹏饮料、华利集团、宁沪高速、成都银行、宇通客车、瑞芯微、豪迈科技、巨星科技、东阳光、爱玛科技、麦格米特、建设工业、春风动力、马钢股份、太辰光、中国重汽、江海股份、明阳电气等59只个股盘中创出1年新高,其中寒武纪、东鹏饮料、宇通客车、豪迈科技、东阳光、麦格米特、太辰光、明阳电气、宏创控股、匠心家居、欧圣电气等11只个股盘中创出历史新高。



506只可转债平均下跌0.12%,对应正股平均下跌0.51%。我的主仓20只可转债平均下跌003%,对应正股平均上涨0.29%,账户合计实际下跌0.02%。

今天因为在外面吃饭,所以也没做任何操作。虽然账户最终跌了0.02%,但盘中到下午一开盘这段时间,深V还是有点恐怖的,指数跌的最多的跌幅超过3%,我的账户最多跌幅也超过1.50%了,但下午13:15后市场开始神奇的拉上去了。我看了国家队过去惯常拉升的沪深300ETF,也基本没有异常,消息面上也没有什么利好,只能解释为市场的合力导致的神奇拉升。

收盘前我的账户还好几次翻红了,最终收盘停留在-0.02%上,不过我觉得失而复得总是幸运的。如果今天结果一样,但不是走的V字而是倒V字,指数最多涨幅超过3%,账户涨幅超过1.50%,最终结果一样,肯定是郁闷坏了。所以股市的结果很重要,过程也很重要。

经常有网友问我,为什么要买这个可转债?为什么又要卖出这个可转债,而且还是亏损的?是不是止损了?其实问这些问题的,都是对量化轮动不了解的人。传统的操作可转债的方法,有低价策略,低溢价策略,双低(低价&低溢价)策略。这好比做菜,只放盐、只放味精、放一份盐一份味精。而一般的量化策略没那么简单,即使用盐和味精,也不是1:1,这个比例要经过很多次试验(历史数据回测),找到一个最佳比例,而且可能不止盐和味精,还要放醋、糖、辣椒等等不同的菜的不同调料和不同的比例。通过试验(历史数据回测)找到不同品种的调料的最佳比例。简而言之,量化轮动策略是多因子多权重的,不是一个两个因子决定的。说起来有点复杂,但这正是量化轮动策略的魅力所在。

今天在饭桌上听到一个人的悲观论调,说他的车里永远加满油,买了不少实物黄金应付极端情况,甚至屯了大量的午餐肉罐头。我是觉得有点好笑,哪里来那么悲观的事情?
2025-01-08 16:47 来自上海 引用
10

持有封基

赞同来自: happysam2018 linagan 包包肚 好奇心135 几点到几点呢 乐鱼之乐 xingml 流沙少帅 多多的进阶更多 »

连跌三天疑无路,回本一朝又一村

美国一样有小作文,股市也一样受影响。特朗普辟谣后,A50跌回到原点。早上还在想不大跌就算好,没想到今天竟然大红了。



主流宽基指数全部上涨,涨幅居前的微盘股指数涨3.67%、中证2000涨2.93%;涨幅居后的上证50涨0.54%、创业板指涨0.70%。

申万一级行业指数中领涨的电子涨4.28%、综合涨3.99%、通信涨2.82%;领跌的医药生物跌1.36%、煤炭跌1.12%、公用事业跌0.40%。

4158只个股上涨、874只个股下跌,涨幅中位数2.03%。

天坛生物、九典制药、迈威生物、*ST京蓝、普利制药、*ST大药、*ST博信、*ST美讯等8只个股盘中创一年来新低,其中*ST大药、*ST博信创历史新低。

寒武纪、东鹏饮料、宇通客车、安克创新、东阳光、麦格米特、建设工业、马钢股份、太辰光、蔚蓝锂芯、新乳业、博创科技、宏创控股、云路股份、申菱环境、*ST花王、英唐智控、瑞可达、聚灿光电、华电科工等59只个股盘中创出一年来新高。其中寒武纪、东鹏饮料、太辰光等3只股票盘中创出历史新高。



507只可转债平均上涨1.16%,对应正股平均上涨1.80%。我的主仓20只可转债平均上涨1.98%,对应正股平均上涨2.63%。账户合计实际上涨了2.24%。

今天超额的多主要是盘中做了轮动,春秋转债、希望转债卖出后虽然分别上涨了0.74%和0.32%,但用这些资金买入的科达转债、九洲转2,从买入价开始到收盘分别上涨了2.36%和3.21%,远远超过了卖出春秋转债和希望转债的上涨。

账户从去年12月30日开始已经连跌5天,今年3个交易日也分别连续下跌了3天,没想到今天一天的上涨,竟然收复了今年3天的失地。套用宋朝大诗人陆游的《游山西村》,起了今天这个题目:连跌三天疑无路,回本一朝又一村。

今年不亏的确实是少数,这并不是我本事大,而是因为我选择了可转债,看今年的主流宽基指数,即使经过今天的反弹,最好的北证50跌了1.29%、最差的创业板指跌了5.29%。5120只个股的涨幅中位数,跌了4.14%。而可转债等权指数,今年才跌了0.51%,最近5年来这个可转债等权指数是超越所有宽基指数的指数,选择鱼多的池塘,再加上良好的钓鱼技术,才能钓到大鱼。

当然,今天涨那么多,明天很有可能要回吐点,做好回吐的准备,可转债的新高,每次就是在一轮又一轮的涨涨跌跌中产生的。
2025-01-07 17:47 来自上海 引用
12

持有封基

赞同来自: 孤独的长线客 包包肚 不虚不实 gaokui16816888 乐鱼之乐 npc小许 流沙少帅 alongside 好奇心135 pppppp 李某某小迷糊 drzb更多 »

红利还值得投资吗?

今天各大指数跌的不算多,但成交进一步萎缩,才1.06万亿,比上周五又少了1083亿。



主流宽基指数全部下跌,跌幅最小的中证500跌0.01%、创业板指跌0.09%;跌幅最大的北证50跌1.43%、中证2000跌0.84%。

申万一级行业指数中领涨的医药生物涨1.32%、钢铁涨1.18%、银行涨0.81%;领跌的商贸零售跌3.61%、食品饮料跌2.32%、社会服务跌1.64%。

2188只个股上涨、2775只个股下跌,涨幅中位数-0.27%。

天坛生物、晨鸣纸业、九典制药、迈威生物、圣龙股份、科拓生物、华民股份、威龙股份、ST天喻、ST智云、*ST吉药、*ST大药、*ST博信等13只个股创最近1年新低,其中*ST吉药、*ST大药、*ST博信盘中创历史新低。

宇通客车、氯碱化工、新乳业、哈药股份、福建高速、鲁抗医药、*ST花王、桂林三金、聚灿光电、奥翔药业、华电科工、石化机械、中恒电气、每日互动、雄韬股份、新宏泰、热景生物、登康口腔、春秋电子、激智科技等32只个股盘中创出最近1年新高。



507只可转债平均下跌0.39%,对应正股平均下跌0.13%。我的主仓20只可转债平均下跌0.11%,对应正股平均上涨0.51%。账户合计平均下跌0.14%。

今天帝欧转债受正股跌停影响大跌6.31%,否则我今天账户应该是上涨的。涨的比较好的是濮耐转债,正股涨停可转债大涨5.05%,盘中被我清仓换入雅创转债,不过也没占便宜。另外春秋转债的正股盘中涨停,可转债价格挂了太高没成交,收盘涨幅收窄到1.82%。

可转债等权指数5连阴,我的账户也是5连跌。上月12日我的账户还连续5天创出历史新高,可转债价格中位数也上涨到122.116元,今天收盘跌到了116.179元,下跌了4.86%。

最近工商银行、建设银行、农业银行、中国银行四大行迭创历史新高,沉默了一些日子的红利,再次回到人们的视野里。

涨了一段日子的红利,是否值得投资?我们先看中证红利指数,历史上最高点是在2015年6月15日的6167.35,次高点是今年10月8日的6209.67,今天收盘是5444.26,离开高点还有一段。

但我们知道这个中证红利指数是价格指数,不含分红,红利指数顾名思义是高分红的,所以分红对指数的影响,比任何其他指数都大。我们再看一下中证红利的全收益指数:历史最高点是今年10月8日的11413.33,今天收盘10792.57,只相差了5.44%。我们再来对比一下最近10年沪深300指数、中证红利指数、红利低波指数和他们对应的全收益指数的涨幅:



从年化收益率来比较,价格指数和全收益指数之间,沪深300相差只有2.27%,而中证红利相差4.53%,红利低波相差4.80%。沪深300和红利指数之间的差异有2%多,还是不少。但中证红利和红利低波之间差异不是很大,从10年的全收益来看,4年中证红利胜出,6年红利低波胜出。

沪深300指数最新的股息率是2.22%,而中证红利的股息率高达6.22%,红利低波也有6.08%,而10年国债的利率已经跌破1.8%了。所以从长期来看红利指数还是有优势的,只不过如果遇到牛市,如2019年、2020年,红利指数即使是全收益都会跑输沪深300指数。只不过我对未来2年里遇到这样的牛市信心不足。

除了最常见的中证红利和红利低波外,恒生港股通高股息低波动指数(HSHYLV.HI)也是一个值得关注的指数,指数主要跟踪内地投资者经港股通可买卖的香港上市高股息低波动证券的表现,指数成分数量为50只。按照理杏仁提供的数据,指数的最新PE为5.53、PB为0.547、股息率为8.37%,作为对比,中证红利的PE为7.43、PB为0.767、股息率为6.31%;红利低波的PE为7.45、PB为0.797、股息率为6.08%。显然如果光看数据,肯定是港股通高股息低波动指数胜出。

但问题没有那么简单,虽然这几个指数的投资标的中有很多都是同一个公司的A股和港股,存在着折价甚至很大的折价。但这个折价和我当年投资封闭基金的折价不一样。封闭基金的折价有一定的年限,到期了就一定会消失,而A/H股之间的折价是没有年限的,记得我在2007年就用A/H股折价策略去做港股,结果大牛市的这一年,折价不仅没有缩小,而且还扩大了。

所以不管是A股的红利策略还是港股的红利策略,长期的趋势肯定是建立在强逻辑的基础上的,但短期走向反面也是非常可能出现的。
2025-01-06 17:46修改 来自上海 引用
2

持有封基

赞同来自: happysam2018 gaokui16816888

@沐柰
请问个人轮动是要自己写工具计算排名买入卖出吗?还是说直接用果仁网建好策略,根据提示操作就可以了?
另外再请教一下金老师,股债平衡当中的债一般是用5年国债ETF还是城投债ETF比较合适呢?
1、目前用禄得网计算的排名
2、看你用具体什么产品。
2025-01-06 15:32 来自上海 引用
0

沐柰

赞同来自:

@持有封基
开门不红就全年不红吗?
和大家的期盼完全背道而驰,不仅仅去年关门绿,而且今年开门也绿,还是很深的绿。
主流宽基指数全部下跌,跌幅最小的微盘股指数跌0.79%、中证2000跌1.46%;跌幅最大的创业板指跌3.79%、科创50跌3.40%。
申万一级行业指数中领涨的商贸零售涨2.00%、综合涨0.20%、纺织服饰涨0.09%;领跌的非银金融跌4.91%、国防军工跌4.48%、计算机跌4.07%。
8...
请问个人轮动是要自己写工具计算排名买入卖出吗?还是说直接用果仁网建好策略,根据提示操作就可以了?
另外再请教一下金老师,股债平衡当中的债一般是用5年国债ETF还是城投债ETF比较合适呢?
2025-01-06 14:05 来自广东 引用
17

持有封基

赞同来自: 乐鱼之乐 塔塔桔 LukeTao ejgnejf skyblue777 daxian100 gaokui16816888 happysam2018 jisabao reborn1978 流沙少帅 e老实和尚 好奇心135 修身明德 蓝河谷 鹏0818更多 »

开放型基金盘点

从choice里导出了所有的开放型基金,数据截止到2025年1月3日,没想到数量已经高达22426只,是股票数量的4倍多了:



在总规模32万亿里,排名第一的还是13万亿的货币基金,其次是6.42万亿的中长期纯债型基金、3.66万亿的被动指数型基金、2.23万亿的偏股混合型基金、1.37万亿的短期纯债型基金和1.12万亿的被动指数型债券基金。被动指数型基金已经远远超过偏股混合型基金了。

从最近1年的表现来看,表现最好的商品型基金上涨了20.93%,我看了一下明细,基本上都是黄金。其次是QDII股票型基金,平均上涨了16.68%,基本上是美股基金。规模最大的货币基金平均收益率1.70%,也算是中规中矩,被动指数型基金7.64%,而偏股混合型基金平均只有1.54%,真的是差强人意。表现最差的唯一下跌的是量化对冲基金,最近1年平均下跌了1.97%。听上去高大上的基金,实际表现却背道而驰。

再看最近5年的表现,没想到最好的竟然也是商品型基金,5年平均上涨了60.42%,这些年黄金真的走了大牛市了。排名第二的增强指数型债券基金平均涨了45.50%、排名第三的QDII-FOF涨了43.65%,不过它们的数量都偏少,不能说明问题。规模相对比较大的QDII股票型基金排名第四,平均上涨了42.48%。而主流的被动指数型基金上涨了20.24%、偏股混合型基金上涨了18.31%。和中长期纯债型基金的19.69%差不多,怪不得现在买债券基金的人那么多。

最近5年表现最差的QDII债券型基金下跌了3.23%、量化对冲基金下跌了1.37%。成为唯二最近5年平均下跌的品种。我看了一下QDII债券型基金的明细,很多都投资了房地产公司在海外发行的美元债。而在量化对冲里面,有汇添富、海富通、南方、广发、中邮、华泰柏瑞、嘉实、大成等8家公司的10只量化对冲产品最近5年都是亏损的。但量化对冲基金成立以来倒有平均7.70%的收益率,说明虽然长期来看这个产品还是有收益,但最近5年市场变化太大,对冲套利的难度越来越高了。
2025-01-04 17:39 来自上海 引用
0

想发财

赞同来自:

@持有封基
开门不红就全年不红吗?
和大家的期盼完全背道而驰,不仅仅去年关门绿,而且今年开门也绿,还是很深的绿。
主流宽基指数全部下跌,跌幅最小的微盘股指数跌0.79%、中证2000跌1.46%;跌幅最大的创业板指跌3.79%、科创50跌3.40%。
申万一级行业指数中领涨的商贸零售涨2.00%、综合涨0.20%、纺织服饰涨0.09%;领跌的非银金融跌4.91%、国防军工跌4.48%、计算机跌4.07%。
8...
闷头一棍!
2025-01-04 09:12 来自美国 引用
0

ximenyinxue123

赞同来自:

多谢
2025-01-03 20:06 来自北京 引用
18

持有封基

赞同来自: 平静aw 大7终成 国富同学 翡冷翠的钢琴家 轻风佛面 th604 walkerdu 一路涨停168 萌混 滚雪球2020 乐鱼之乐 几点到几点呢 包包肚 gaokui16816888 我心安然 happysam2018 afaf92 好奇心135更多 »

还是可转债抗跌

再次大跌,再比较哪个指数跌的少,只不过是五十步笑百步。



主流宽基指数中跌幅最小的北证50跌0.17%、上证50跌0.89%;跌幅最大的微盘股指数跌4.78%、中证2000跌4.44%。

申万一级行业指数中领涨的有色金属涨0.26%、煤炭涨0.02%、石油石化涨0.01%;领跌的商贸零售跌5.49%、计算机跌4.96%、社会服务跌4.88%。

334只个股上涨、4761只个股下跌,涨幅中位数-3.79%。

天坛生物、固德威、晨鸣纸业、九典制药、福瑞股份、迈威生物、百通能源、兴瑞科技、首要控股、圣龙股份、恒林股份、华民股份、威龙股份、ST旭蓝、*ST大药等15只个股创出最近一年来新低。其中ST旭蓝和*ST大药创出历史新低。

乖宝宠物、瀚蓝环境、华灿光电、长盛轴承、哈药股份、福建高速、*ST花王、鲁抗医药、聚灿光电、国星光电、奥翔药业、美格智能、东港股份、东百集团、欧圣电气、宏润建设、热景生物、新宏泰、登康口腔、电光科技等32只个股盘中创出最近1年来新高。

其中乖宝宠物、长盛轴承、欧圣电气等3只个股盘中创出历史新高。



507只可转债平均下跌0.64%,对应正股平均下跌3.49%;我的主仓20只可转债平均下跌0.76%,对应正股平均下跌4.08%。账户合计实际平均下跌0.89%。

今天卖出美锦转债和强力转债,买入应急转债和斯莱转债。结果卖出后两只可转债没怎么跌,而买入的两只可转债跌了不少,导致了账户实际多跌了。即使这样,今天可转债还是比正股少跌了很多很多。

从2021年开始做可转债以来已经4年了,对比可转债等权指数、可转债基金和纳指100等参照,都是跑赢了:



2021年实盘跑赢可转债等权指数4.81%、2022年跑赢8.82%、2023年跑赢12.44%、2024年跑赢12.28%,基本上每年还有进步。

这几天的大跌,让我想到了两个场景,第一个是大海里的波涛汹涌,看上去来势汹汹;第二个是在万里高空看波涛汹涌的大海,平静的像一面镜子。可转债的优势好比是一艘万吨巨轮,虽然也受点风浪的影响,但相对来说小很多。其实小市值策略的历史收益率比可转债更高,缺点就是波动实在太大,随着年龄的增加,越来越拒绝波动大的品种了。

说起年龄就想起一件事情,我的一个老同事,年纪比我大几岁,投资理念比较保守,过去跟我买过债券和债券ETF等,最近也想做可转债。结果因为过了70岁,不能网上开通可转债权限,去了线下店,结果因为过去买的债券和债券ETF不算2年经验而无法开通。我在想自己再过3年多也要到70了,很多比较激进的投资的方法和品种,都不是我们这个年纪所考虑的了。最重要的是把每天的日子都过的快乐,金钱等身外之物都是次要的。
2025-01-04 06:11修改 来自上海 引用
0

黑哥

赞同来自:

找了半天,原来新帖在这里
2025-01-02 23:44 来自河南 引用
2

持有封基

赞同来自: LukeTao happysam2018

@何哲欢888
个人可以买企业债吗?
现在个人只能买国债
2025-01-02 20:27 来自上海 引用
0

何哲欢888

赞同来自:

@向往天空的鱼
我跟你的操作思路很接近,封基、企业债、分级A、打新到现在的可转债,只是我也长期持有股票和ETF。收益稳健,不刺激。这样挺好的。
个人可以买企业债吗?
2025-01-02 17:51 来自移动 引用
18

持有封基

赞同来自: xingml 孤独的长线客 乐鱼之乐 不虚不实 happysam2018 gaokui16816888 卢安 zqbkzz 几点到几点呢 liyunlongv 流沙少帅 小小投资者 湘漓浪云 作手十一 好奇心135 鹏0818 e老实和尚 cdhr更多 »

开门不红就全年不红吗?

和大家的期盼完全背道而驰,不仅仅去年关门绿,而且今年开门也绿,还是很深的绿。



主流宽基指数全部下跌,跌幅最小的微盘股指数跌0.79%、中证2000跌1.46%;跌幅最大的创业板指跌3.79%、科创50跌3.40%。

申万一级行业指数中领涨的商贸零售涨2.00%、综合涨0.20%、纺织服饰涨0.09%;领跌的非银金融跌4.91%、国防军工跌4.48%、计算机跌4.07%。

829只个股上涨、4222只个股下跌,涨幅中位数-2.17%。

天坛生物、金诚信、坤彩科技、固德威、亚辉龙、九典制药、迈威生物、恒林股份、华民股份、ST旭蓝等10只个股创最近1年来新低,其中ST旭蓝创历史新低。

乖宝宠物、深高速、惠城环保、太辰光、盐津铺子、华灿光电、博创科技、中百集团、桂林三金、*ST花王、奥翔药业、美榕智能、共进股份、成飞集成、东港股份、东百集团、中恒电气、克劳斯、创识科技、宏润建设等35只个股创出最近1年新高。

其中成都银行、山东高速、深高速、皖通高速、万辰集团等5只个股盘中创出历史新高。



507只可转债平均下跌0.63%,对应正股平均下跌2.19%;我的主仓20只可转债平均下跌0.98%,对应正股平均下跌2.25%。账户合计实际下跌0.95%。

今天没有任何操作。虽然我的账户也是开门绿,而且还跑输了可转债等权指数,但相对正股还是少跌了很多,而且因为可转债的涨跌不对称,往往市场经过涨跌一个来回,大部分指数可能回到原地,但可转债却又创了新高了。

按照集思录的统计,可转债等权指数8年来是仅次于纳指100和标普500的指数:



它跑赢了道指和几乎所有的A股和港股的主流宽基指数,和纳指相比,我们小散通过量化轮动等策略,每年可以非常轻松的跑赢可转债等权指数,而你要想跑赢纳指100和标普500,比登天还难。

可转债等权指数8年的年化比纳指100跑输6%多,这6%多的差距,量化轮动完全可以追上,4年实际平均每年跑赢大概在10%左右,所以我不做纳指做可转债轮动。

至于今天的开门绿,其实也并没有像有些人预言的开门绿就能决定一年,别的不说,最近2年就是相反的,2024年第一个交易日上证指数跌0.43%,结果全年上涨了12.67%;203年第一个交易日上证指数涨0.88%,结果全年下跌了3.70%。30多年来上证指数第一天的涨跌和全年的涨跌的相关度只有17.65%,几乎是不相关。

我自己的账户也是连续3个交易日下跌,而且是跨年跌,那也不能说明什么,至于有人又在说要连跌3个月,跌破2400,纯粹是情绪的发泄。
2025-01-02 17:15 来自上海 引用
0

持有封基

赞同来自:

@晴天1950
首先恭喜楼主取得好成绩!问一下,楼主投资的钱只是家庭资产的一部分还是家庭所有资产?是不是不计算投资外的资金收益
肯定是一部分,股票账户外的都没计算。
2025-01-02 17:14 来自上海 引用
0

晴天1950

赞同来自:

首先恭喜楼主取得好成绩!问一下,楼主投资的钱只是家庭资产的一部分还是家庭所有资产?是不是不计算投资外的资金收益
2025-01-02 15:58 来自北京 引用
0

银杏树5

赞同来自:

楼主什么时候回白马?茅台五粮液估值非常低了。
2025-01-02 15:49 来自山东 引用
0

追梦者雷

赞同来自:

谢谢封基老师分享
2025-01-02 14:41 来自广东 引用
0

cdhr

赞同来自:

祝封基老师 2025 年事事如意,身体健康
2025-01-02 12:33 来自移动 引用
1

韭歌

赞同来自: AK47888

快乐投资,美好生活,祝持有封基老师新年快乐~
2025-01-02 11:26 来自重庆 引用
4

易尔奇 - 安待久 渐息散

赞同来自: gxlis 大7终成 夏花秋果 Kluer

谢谢风雨无阻的分享,堪称法布施。(抱拳)
2024年金老师有一句话给我很大安慰和启发,
大意:不与专业者比业绩,不与年轻人比气魄。
2025-01-02 09:38 来自四川 引用

要回复问题请先登录注册

发起人

问题状态

  • 最新活动: 2026-01-01 12:17
  • 浏览: 799234
  • 关注: 1158