2023,继续吃贴水。
期货(目前是IM)
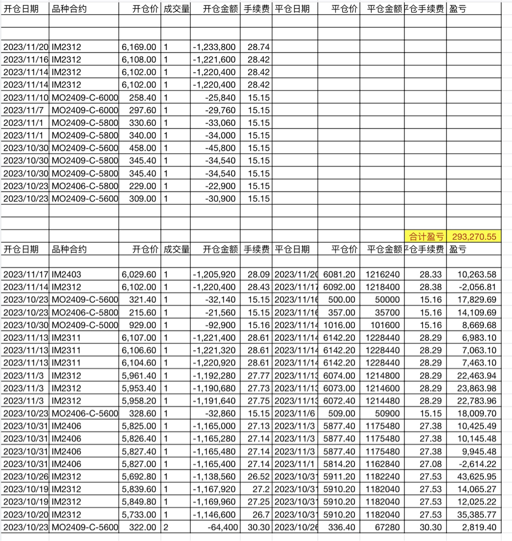
继续吃贴水
帐号内的资金打算只出不进。大跌时减仓保命。
用“价值平均”吃贴水?
吃贴水一年多,深知吃贴水的难题在于仓位、杠杆、加减仓的时机。这段时间,尝试把基金的“价值平均定投”策略运用在吃贴水上。
前提:
1.标的指数持续上升
2.贴水存在
3.不爆仓
起始时间:2022/7/27
起始点位:6985,IM
持有张数:5
起始市值:6985000
价值增长率:每月0.5%,每年6%
加减时机:每加减一张时保持目标点市值的点位。
目标市值的增长:
11号移仓:
吃贴水151点,相当于收30200元房租吧。
期货(目前是IM)
继续吃贴水
帐号内的资金打算只出不进。大跌时减仓保命。
用“价值平均”吃贴水?
吃贴水一年多,深知吃贴水的难题在于仓位、杠杆、加减仓的时机。这段时间,尝试把基金的“价值平均定投”策略运用在吃贴水上。
前提:
1.标的指数持续上升
2.贴水存在
3.不爆仓
起始时间:2022/7/27
起始点位:6985,IM
持有张数:5
起始市值:6985000
价值增长率:每月0.5%,每年6%
加减时机:每加减一张时保持目标点市值的点位。
目标市值的增长:
11号移仓:
吃贴水151点,相当于收30200元房租吧。
27
赞同来自: hantang001 、川军团龙文章 、剑水 、skyblue777 、Restone 、 、 、 、 、 、 、 、 、 、 、 、 、 、 、 、 、 、 、 、 、 、更多 »
昨天在寒风中跑了一场马拉松。这是继上海、广州后,今年的第三场马拉松。今年没什么训练,上两场都跑得不好。昨天天气不错,开跑后,前 35 公里一直在压制,免得前面太快,后面跑崩。35km 以后,双下肢乏力,只能降速。最终还是创下了今年的最好成绩。投资(ji)就好像一场马拉松。要取得好成绩,除了实力外,还要看天气、策略,缺一不可。
Edge
Chrome
Firefox













































































京公网安备 11010802031449号