宁沪高速,国内交通基础设施龙头,公司主要从事投资、建设、经营和管理沪宁高速公路江苏段及其他江苏省境内的收费路桥,并发展公路沿线的客运及其它辅助服务业。
近期海内外情绪回暖,国内管理层也频繁释出利好政策和意向,公司股价也自底部翻倍,走势稳健,那么问题来了,现在公司的估值有泡沫吗?还有投资价值吗?
公司基本面优秀,五年平均ROE12.7%还不错,五年平均自由现金流3.3亿赚的也是真金白银,目前60.2%的PB历史百分位估值中等。
做下回测,选取宽基指数、行业指数、行业内全球对标公司作为一个投资组合进行回溯。
历史表现一般,十五年涨了4倍,行业中游水准。(注:看Total Return那一栏)
相关性表现一般,基本跟整个行业大周期走的。(注:相关系数数值越低越好)
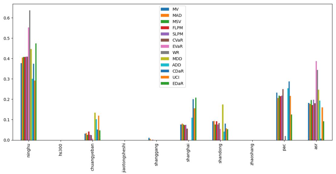
按最高夏普比率配置的话,系统给的权重为37.6%,第二权重给了美股的太平洋航空占比23.2%。(注:占比越高越好)
有效边界也差不多,公司妥妥的主角了。(注:占比越高越好)
如果换成其他约束,系统给的配置比例也大同小异,基本是在公司和美股的太平洋航空之间做取舍了。(注:占比越高越好)
最后看下整个投资组合的情况,日度均值回报在0.06%,比上次测的工业机械行业低30%,不过6.61%的CVaR波动也会小一些。(注:均值回报看Mean那一栏,越高越好;CVaR波动看CVaR那一栏,越低越好)
区间累计回报近7倍,最大回撤36.06%,投资组合的整体表现要好于宁沪高速个股。整个交通设施行业盈利能力一般,波动中低,夏普比率0.89略显平庸。(注:累计回报看Cumulative Returns那一栏,越高越好;最大回撤看Maximum Drawdown那一栏,越低越好)
明月何处看德芬的结论:
宁沪高速,基本面扎实,历史表现中规中矩,目前估值也正常,值得关注。整个交通设施行业历史表现差强人意,波动尚可,综合夏普比率颇为鸡肋,只能当配置,全球市场看太平洋航空,大中华市场看宁沪高速。(注:夏普比率越高越好)
近期海内外情绪回暖,国内管理层也频繁释出利好政策和意向,公司股价也自底部翻倍,走势稳健,那么问题来了,现在公司的估值有泡沫吗?还有投资价值吗?
公司基本面优秀,五年平均ROE12.7%还不错,五年平均自由现金流3.3亿赚的也是真金白银,目前60.2%的PB历史百分位估值中等。
做下回测,选取宽基指数、行业指数、行业内全球对标公司作为一个投资组合进行回溯。
历史表现一般,十五年涨了4倍,行业中游水准。(注:看Total Return那一栏)
相关性表现一般,基本跟整个行业大周期走的。(注:相关系数数值越低越好)
按最高夏普比率配置的话,系统给的权重为37.6%,第二权重给了美股的太平洋航空占比23.2%。(注:占比越高越好)
有效边界也差不多,公司妥妥的主角了。(注:占比越高越好)
如果换成其他约束,系统给的配置比例也大同小异,基本是在公司和美股的太平洋航空之间做取舍了。(注:占比越高越好)
最后看下整个投资组合的情况,日度均值回报在0.06%,比上次测的工业机械行业低30%,不过6.61%的CVaR波动也会小一些。(注:均值回报看Mean那一栏,越高越好;CVaR波动看CVaR那一栏,越低越好)
区间累计回报近7倍,最大回撤36.06%,投资组合的整体表现要好于宁沪高速个股。整个交通设施行业盈利能力一般,波动中低,夏普比率0.89略显平庸。(注:累计回报看Cumulative Returns那一栏,越高越好;最大回撤看Maximum Drawdown那一栏,越低越好)
明月何处看德芬的结论:
宁沪高速,基本面扎实,历史表现中规中矩,目前估值也正常,值得关注。整个交通设施行业历史表现差强人意,波动尚可,综合夏普比率颇为鸡肋,只能当配置,全球市场看太平洋航空,大中华市场看宁沪高速。(注:夏普比率越高越好)
Edge
Chrome
Firefox



















京公网安备 11010802031449号